M119 Midterm Exam, October 1996

Question 1

Question 2

Question 3

Question 4

Question 5

Question 6

Question 7

Question 8

Question 9 part A
Question 9 part B

Question 10

Question 11

Question 12

Question 13 part A
		Question 13 part B
Question 13 part C

Question 14

Question 15

Question 16

Question 17

Question 18 part A
Question 18 part B

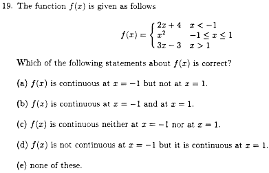
Question 19

Question 20