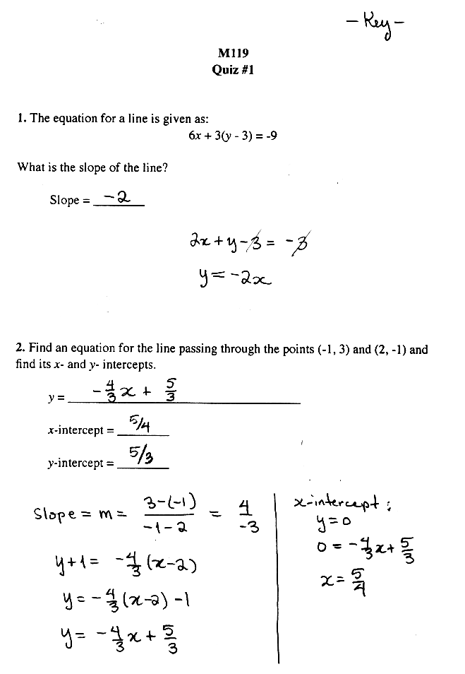
#1. -2,
#2. y=-4x/3+5/3, x-intercept=5/4, y-intercept=5/3.

#3. Competitor B is cheaper
after 700 mins.


Last updated: Sun Sep 21 21:41:57 EST 2003