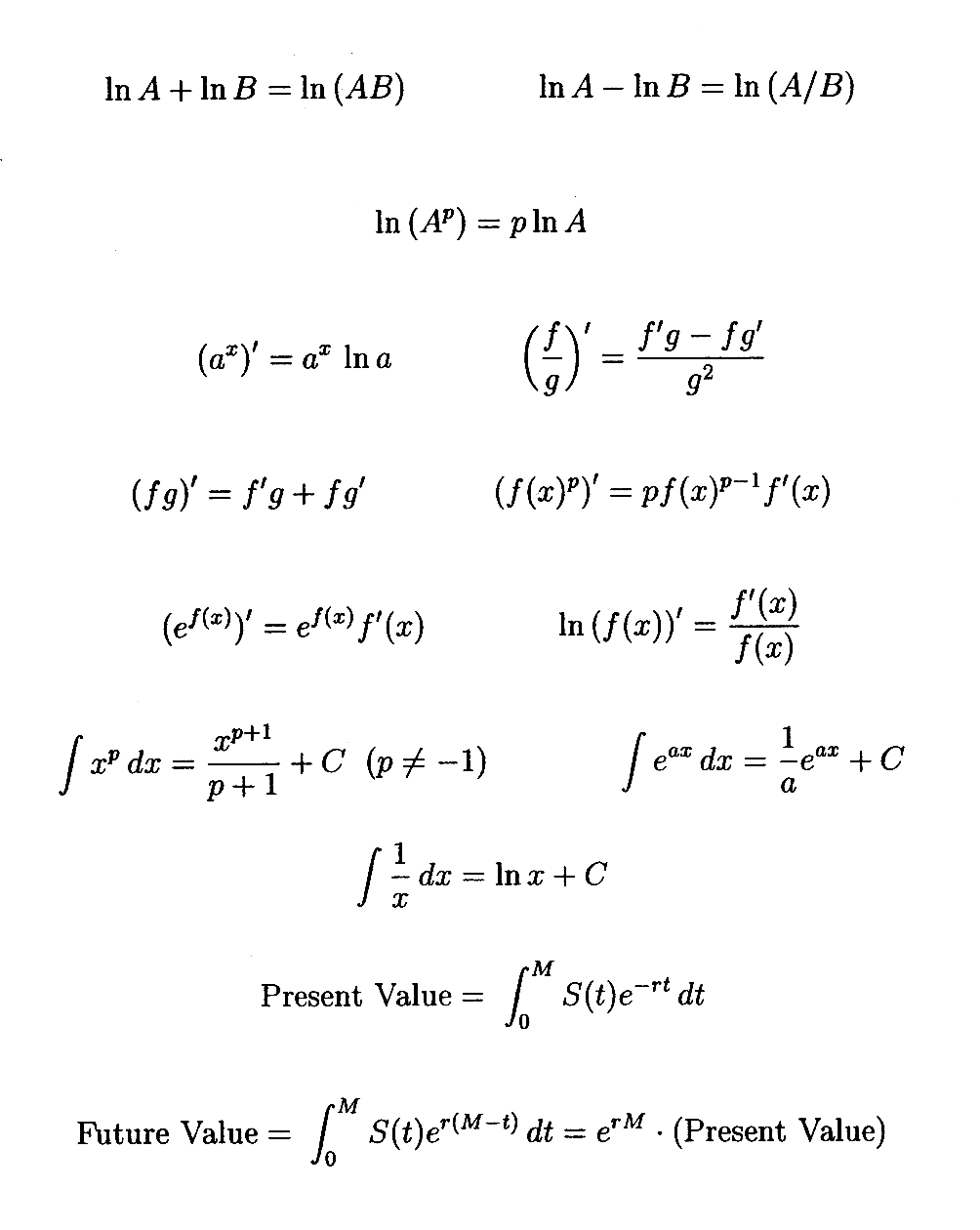
Formula Page

There will be a page attached to the back of the final exam containing the following formulae:


Last updated: Mon Dec 15 21:28:11 EST 2003