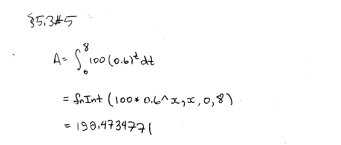
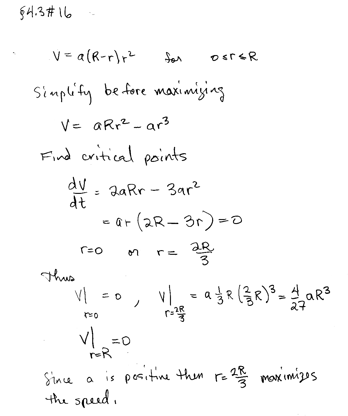
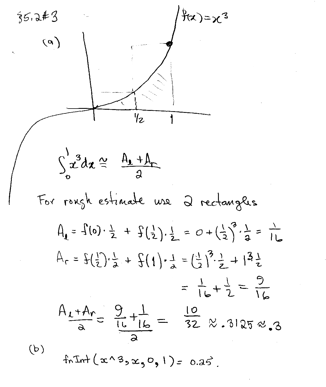
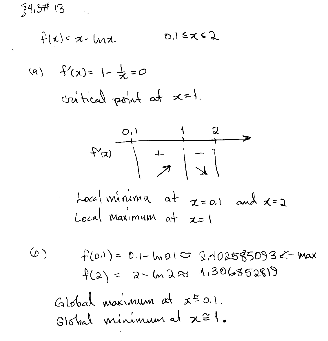
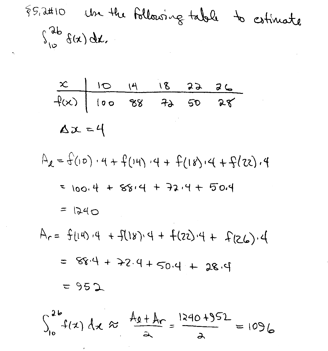
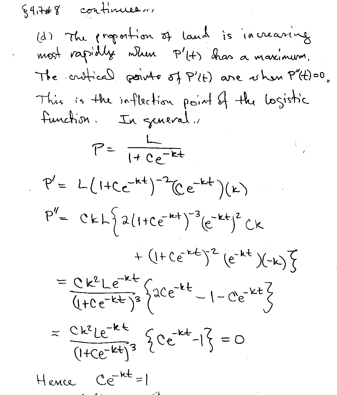
Exam 3 Review Answers

The answers posted here have not been fully checked for correctness. Please contact me if you find any errors and I'll fix them as quickly as possible.


Last updated: Tue Nov 18 23:08:15 EST 2003