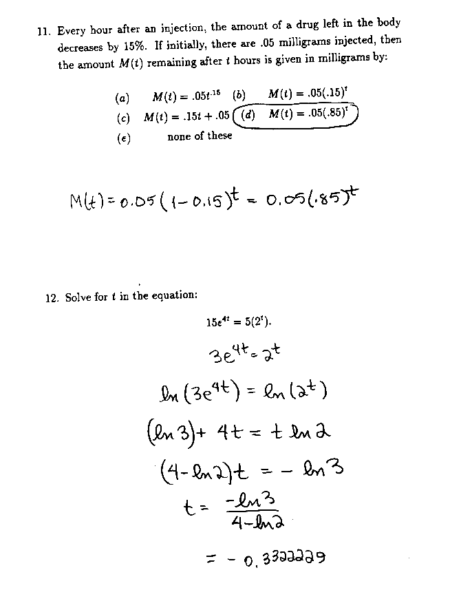
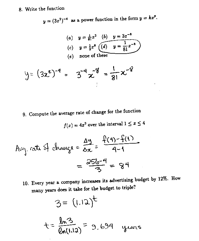
Last updated: Thu Sep 25 23:10:06 EST 2003