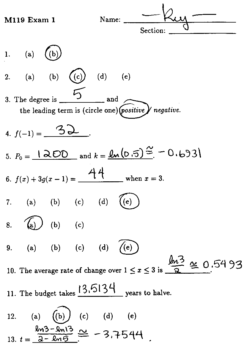
1. B; 2. C; 3. degree 5 leading term is positive;
4. 32; 5. P0=1200, k=-0.6931; 6. 44; 7. E; 8. A; 9. E; 10. 0.5493;
11. 13.5134; 12. B; 13. -3.7544


Last updated: Tue Sep 30 15:21:06 EST 2003