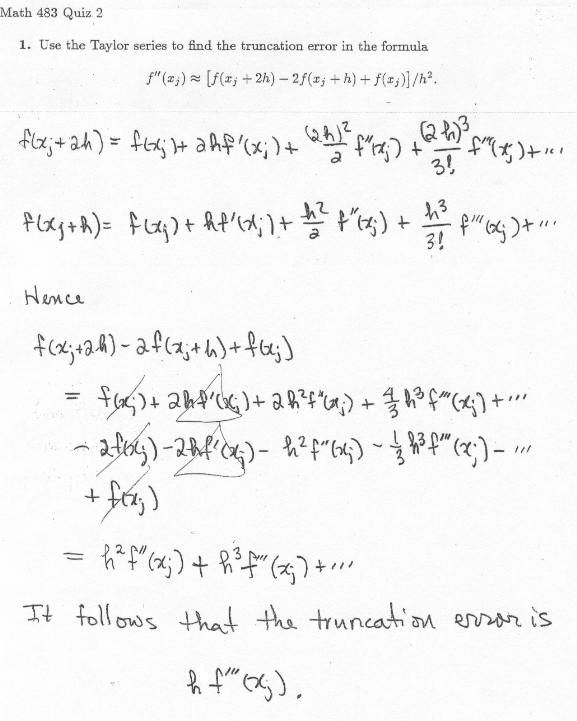
page 1

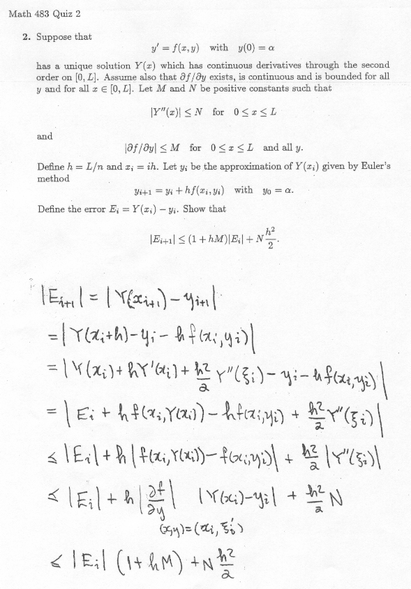
page 2