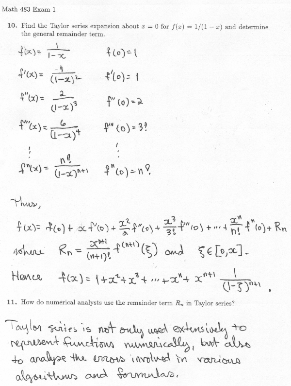
page 1

page 2

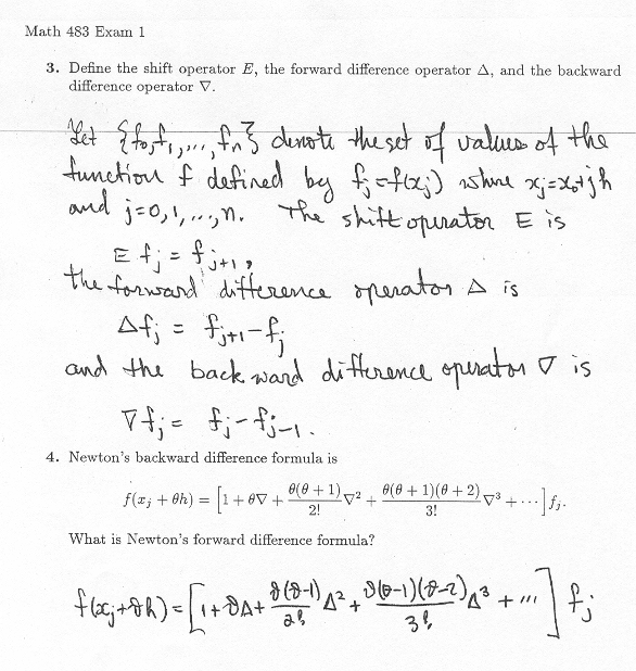
page 3

page 4

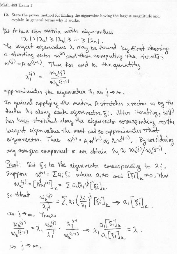
page 5

page 6

page 7