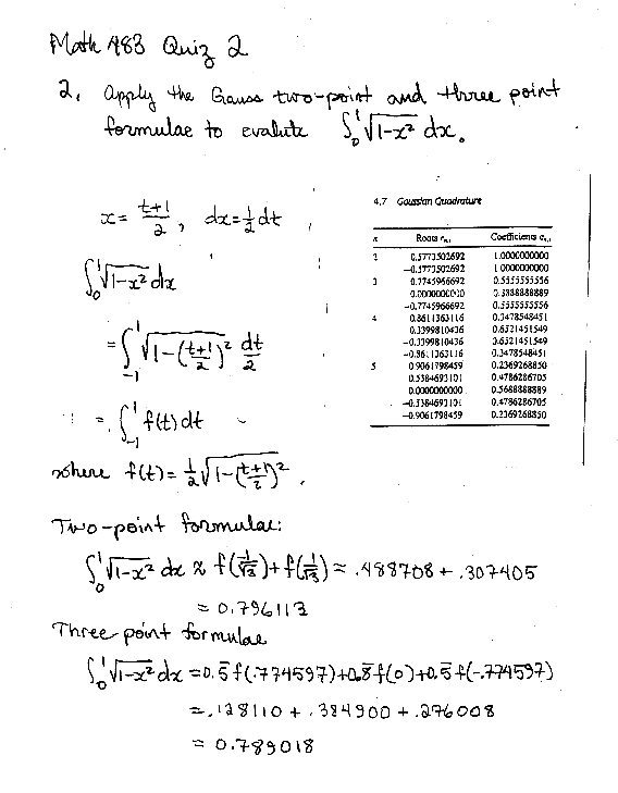
Answers to Quiz 2

Last Updated: Tue May 8 15:45:00 PDT 2001