Mathematics 483/683 Quiz 1 Answers

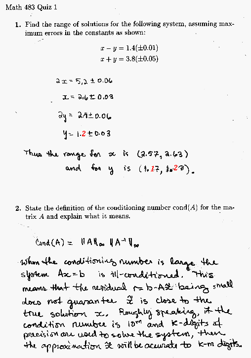
1. 2.57<x<2.63 and 1.37<y<1.43. 2. Cond(A)=|A||A^-1| when cond(A) is large then Ax=b is ill-conditioned.

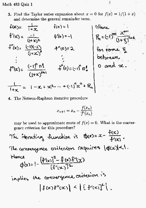
3. 1-x+x^2-...+(-1)^n x^n + R_n where R_n=(-x)^(n+1)/(1+xi)^(n+2) where xi is between 0 and x. 4. |f(x)f''(x)|<|f'(x)|^2.


Last updated: Fri Feb 23 16:13:37 PST 2001