Answers to Final

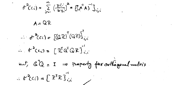
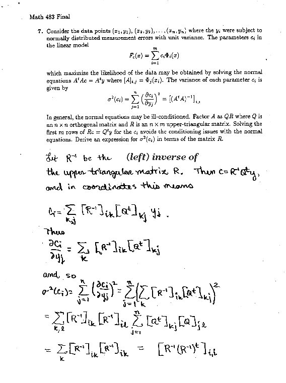
Alternative solution to problem 7:

Last Updated: Thu May 10 11:12:41 PDT 2001