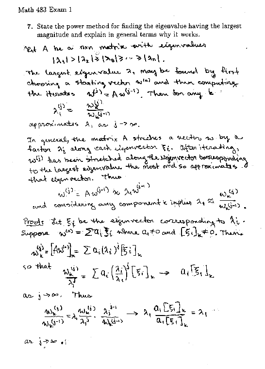
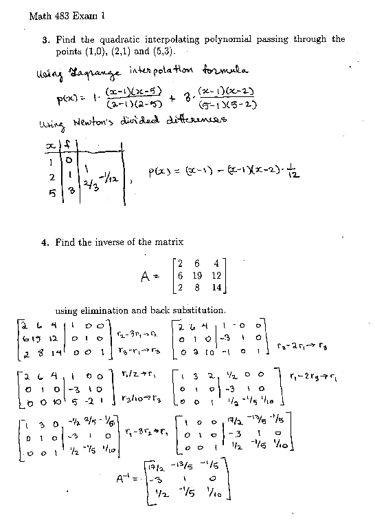
Answers to Midterm

Last Updated: Sat Mar 10 19:44:25 PST 2001