Math/CS 466/666
Combined Homework and Programming Project 3
This final assignment will be counted both as homework 3 and as programming
project 3 for a total 40 points. It is due on the day of the final exam.
Your work should be presented in the form of a typed report using clear
and properly punctuated English. Where appropriate include full program
listings and output. If you choose to work in a group of two, please
turn in independently prepared reports.
Please work the problems
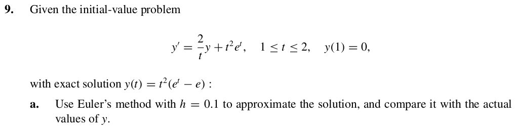
- Chapter 5.2 # 9
- Chapter 5.3 # 9
as stated below