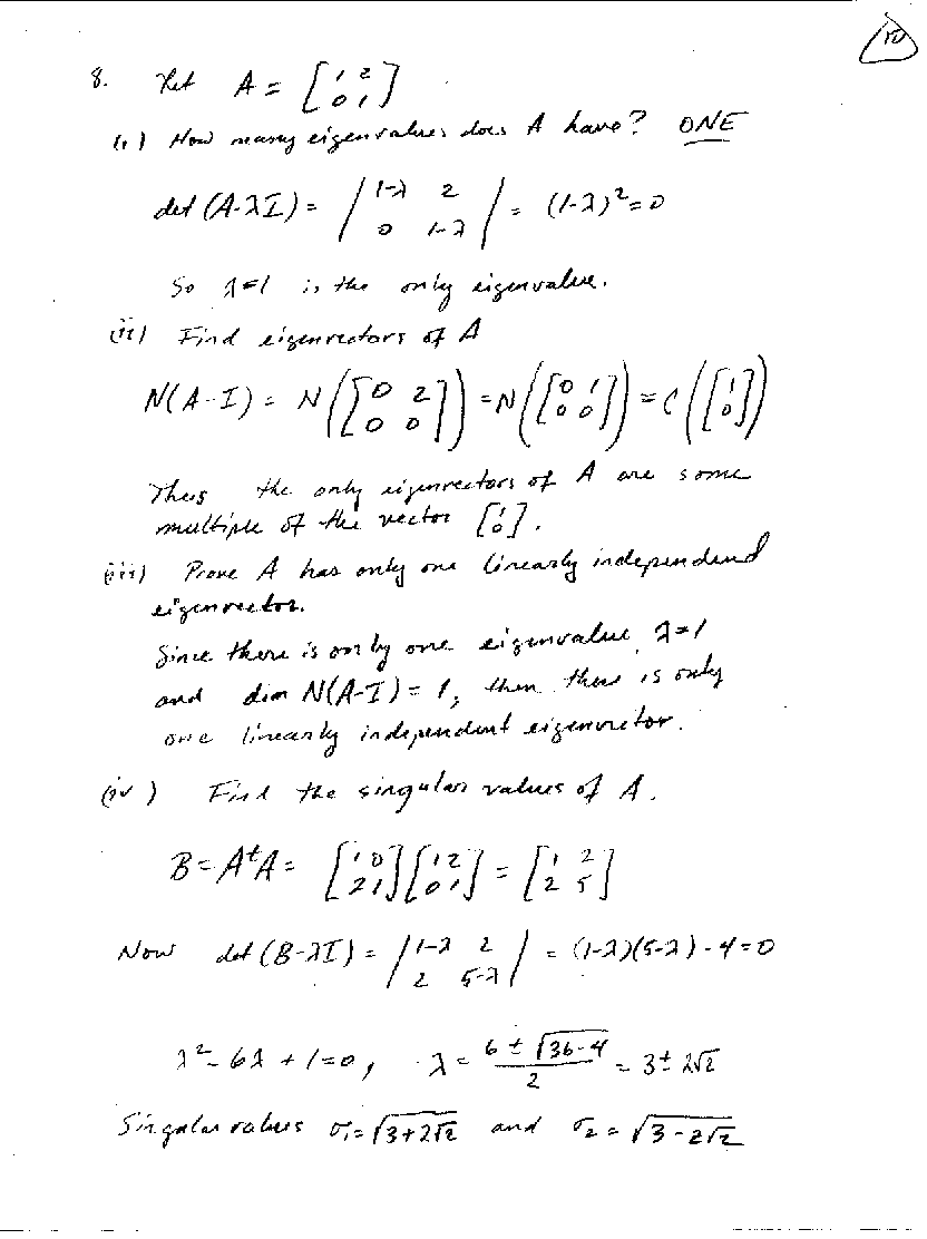
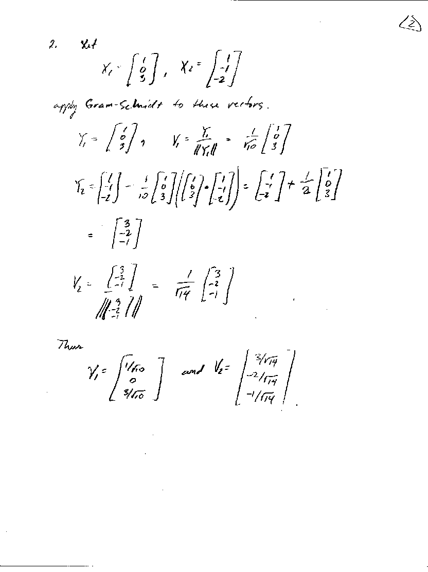
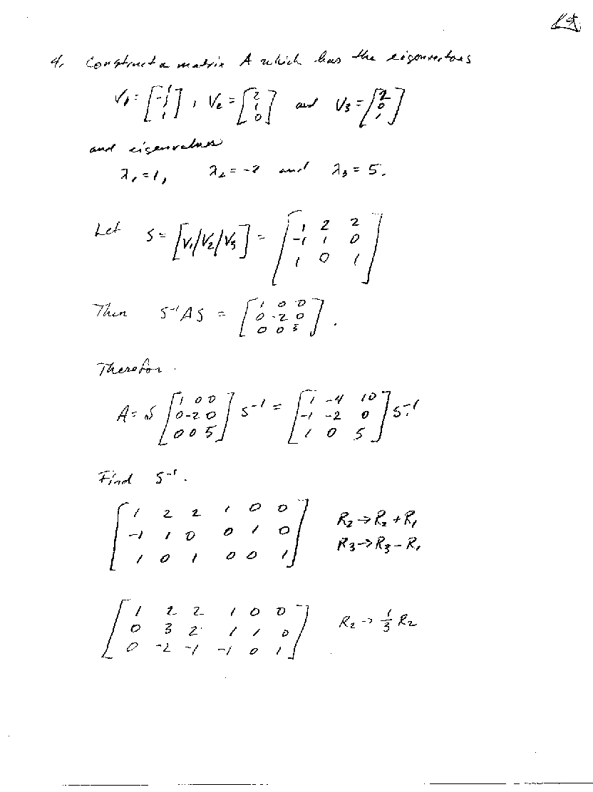
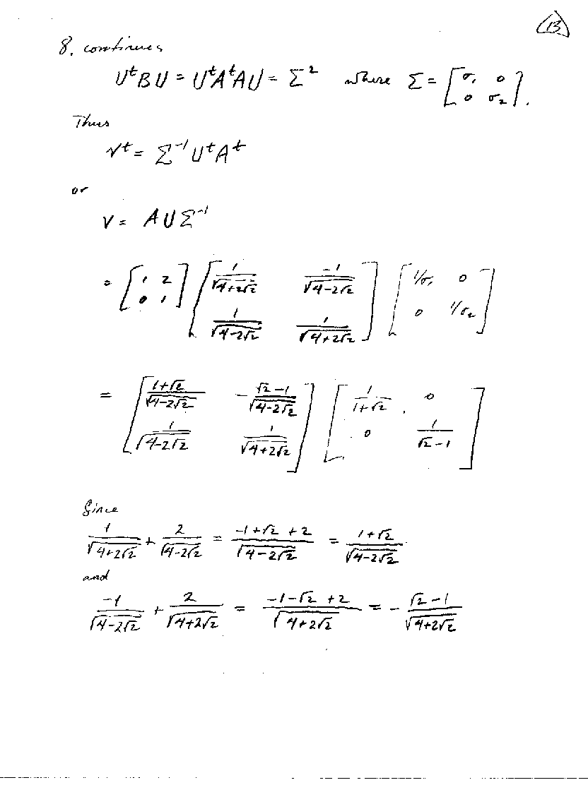
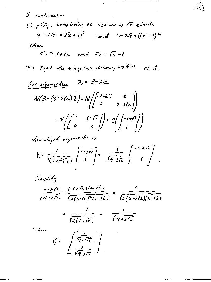
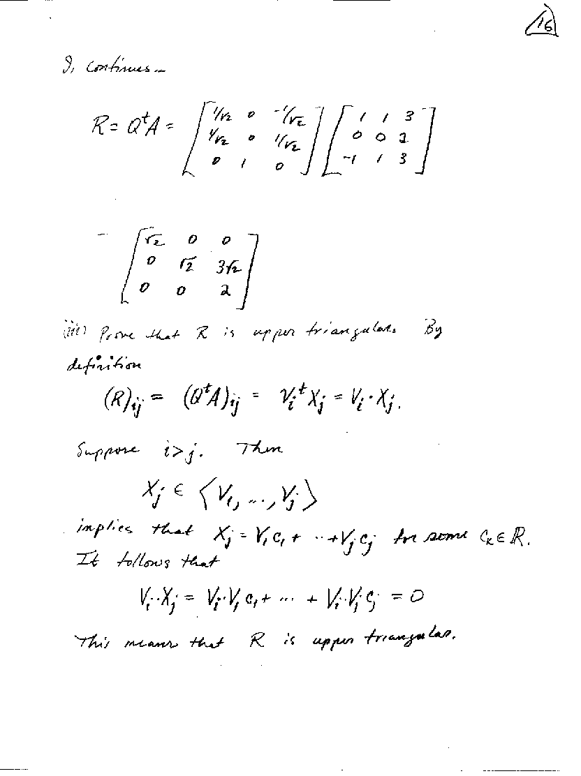
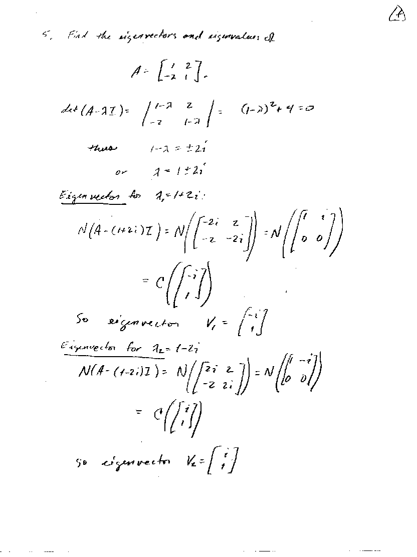
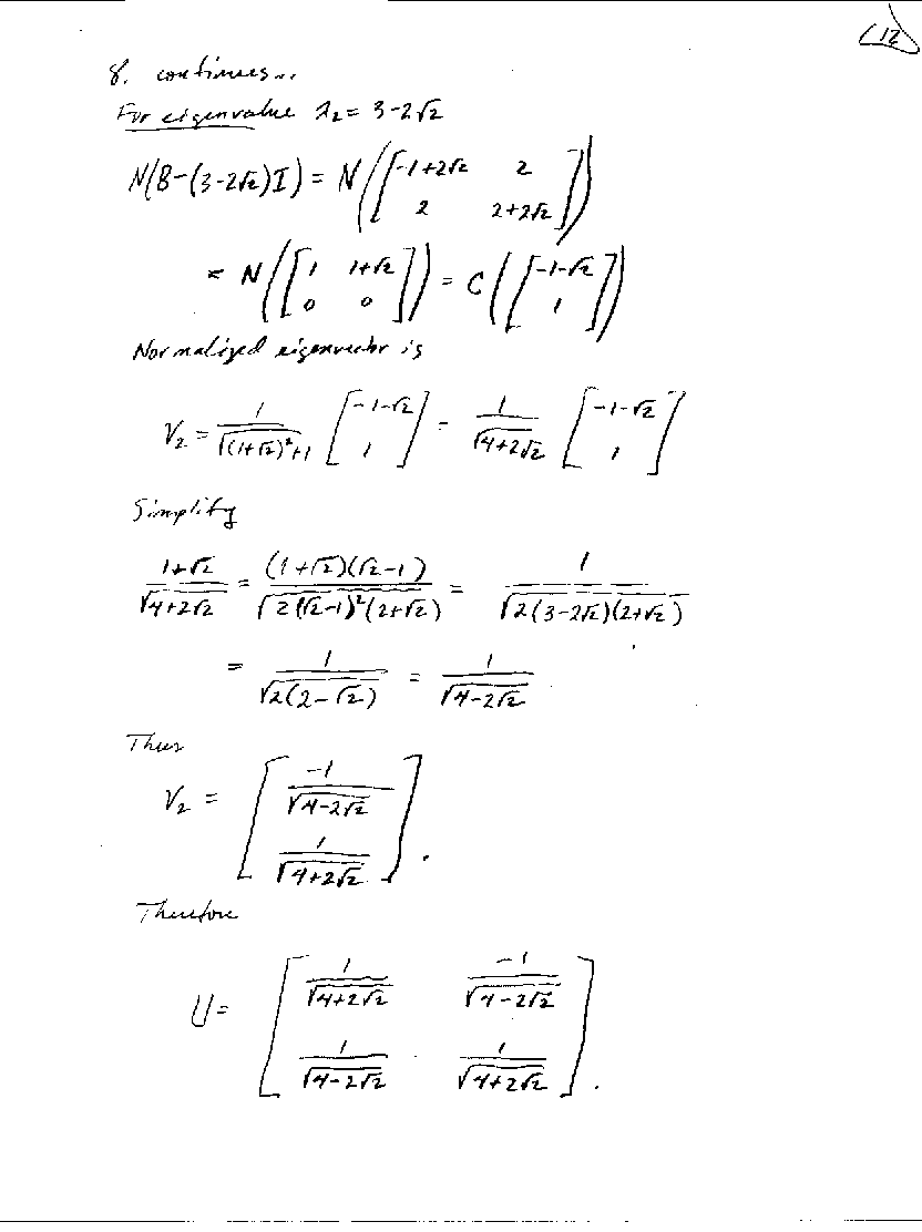
Last updated: Tue May 8 23:19:14 PDT 2007