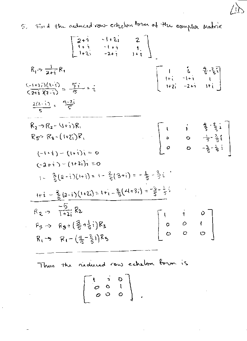
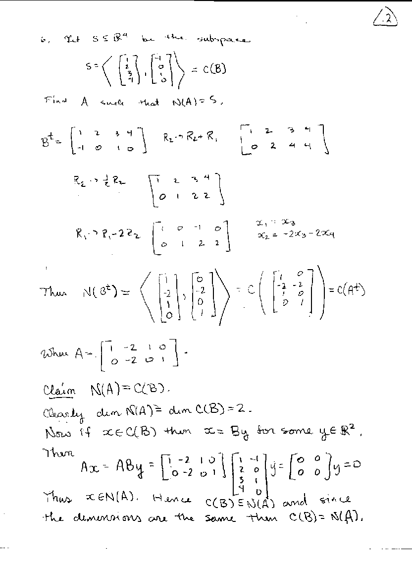
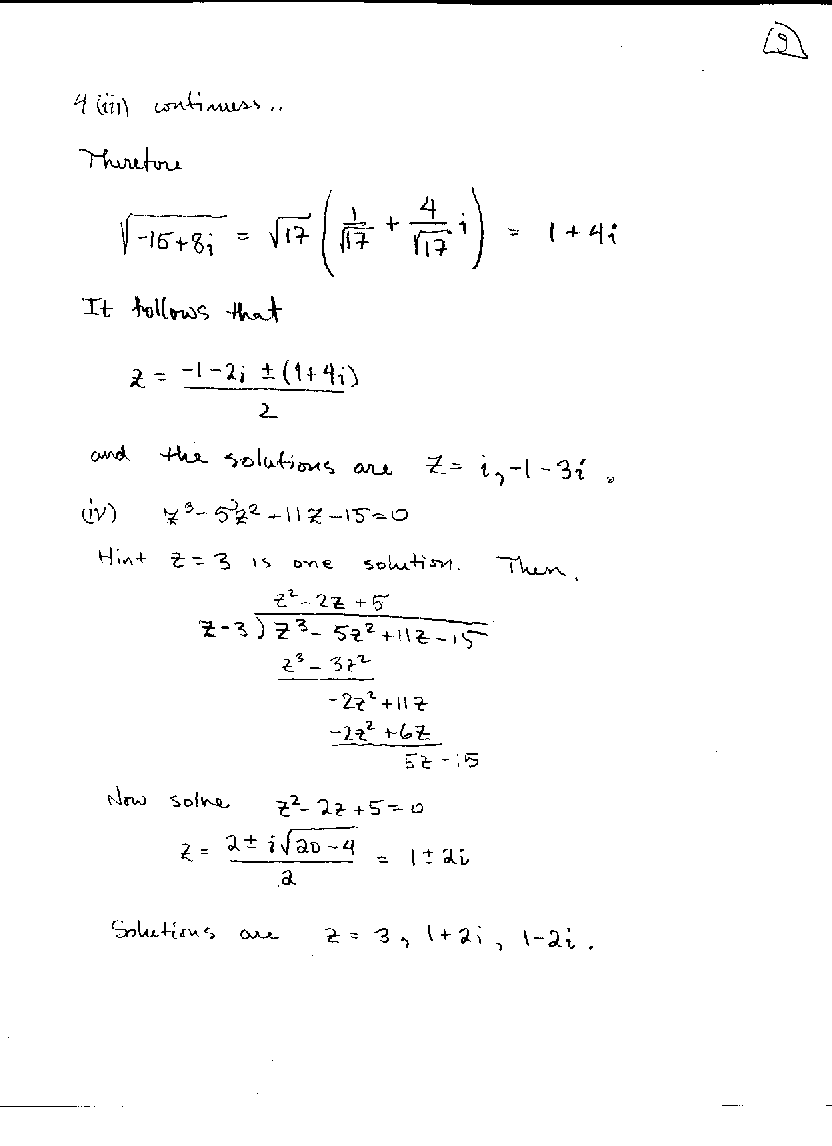
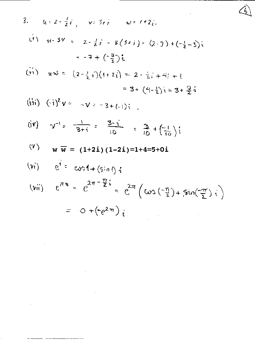
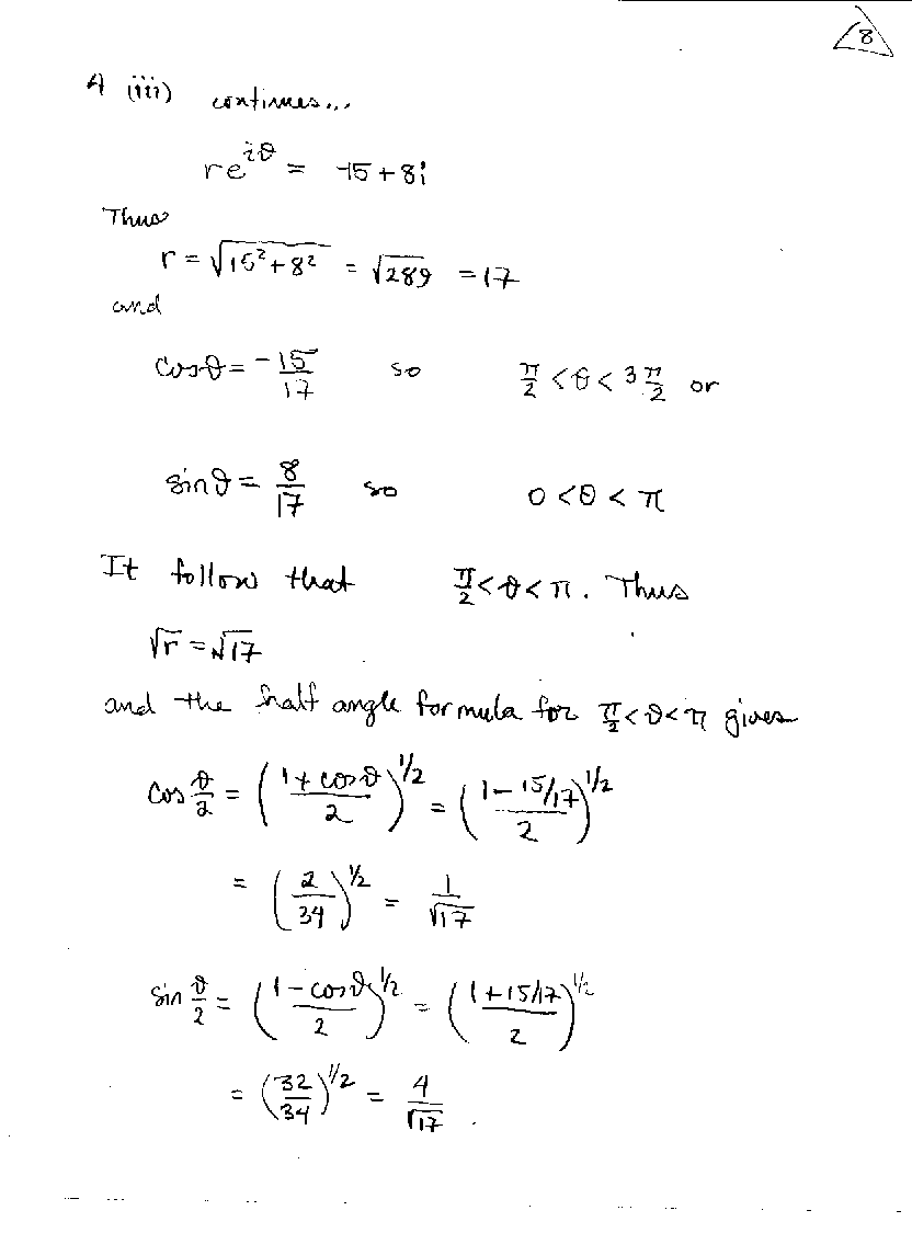
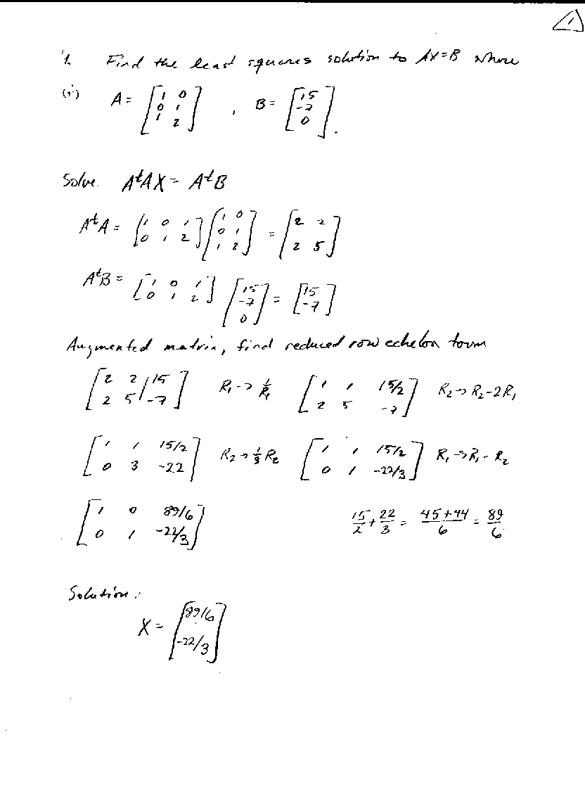
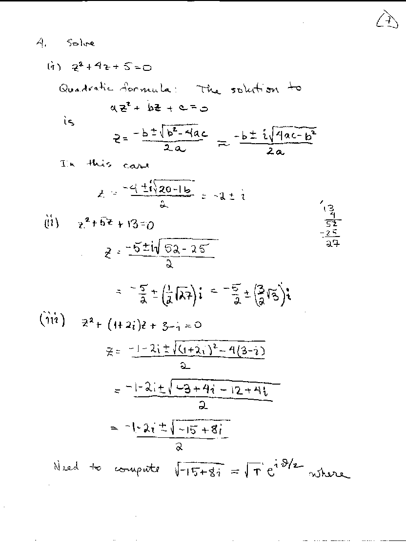
Last updated: Tue May 8 00:53:29 PDT 2007