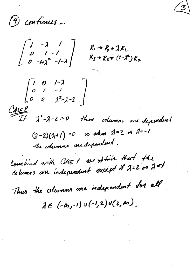
Last updated: Mon Apr 9 21:37:03 PDT 2007