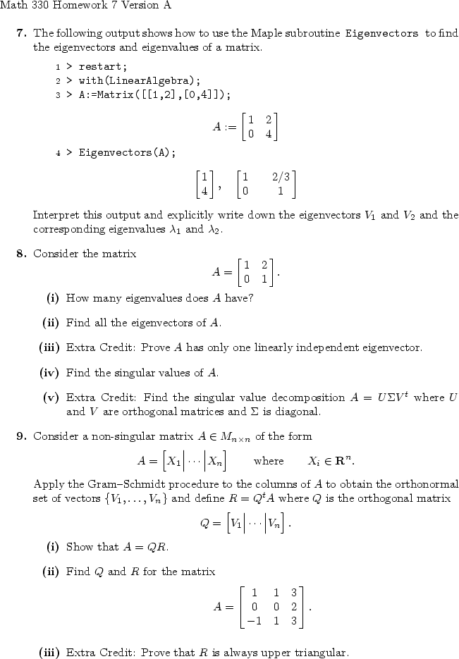
Last updated: Wed May 2 01:19:42 PDT 2007