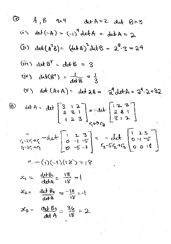
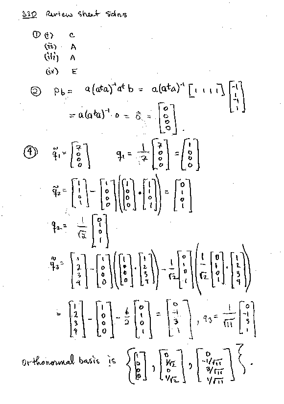
Last Updated: Mon Apr 11 10:51:34 PDT 2005