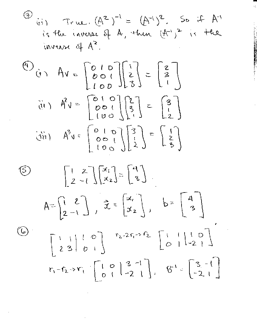
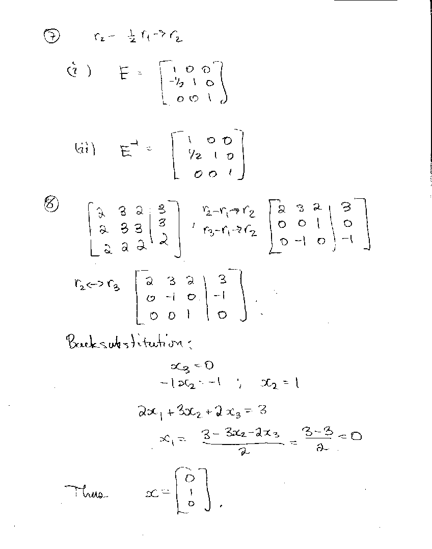
Last Updated: Mon Feb 28 00:44:11 PST 2005