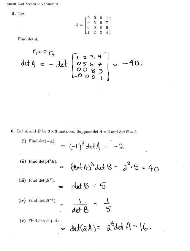
Last Updated: Sun Apr 17 23:29:35 PDT 2005