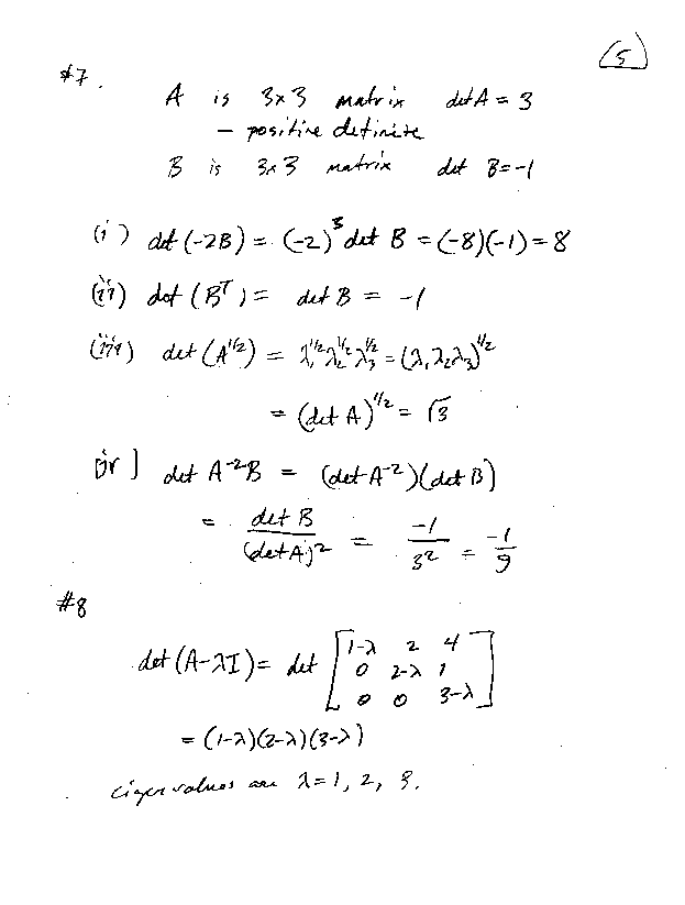
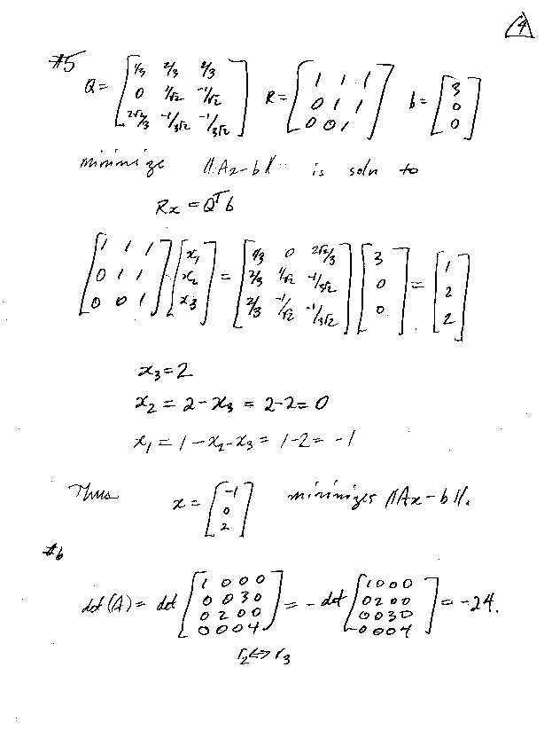
Last Updated: Mon Dec 6 15:34:32 PST 2004