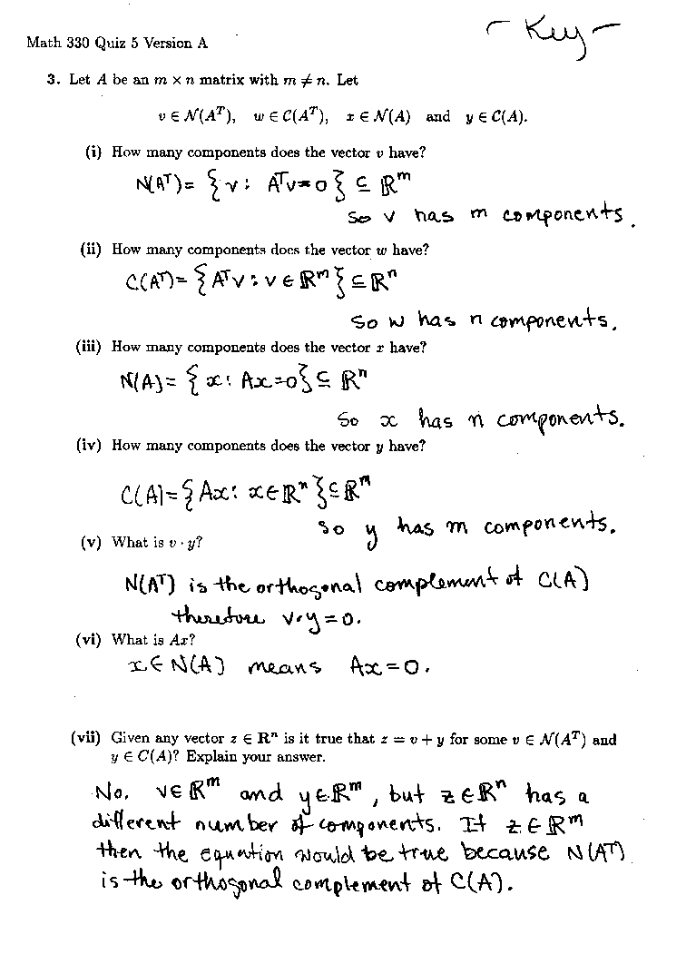
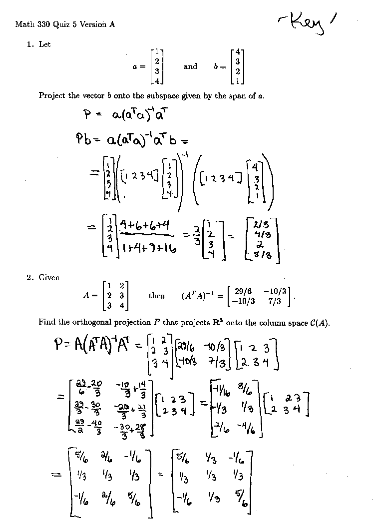
Last Updated: Mon Nov 8 12:40:14 PST 2004