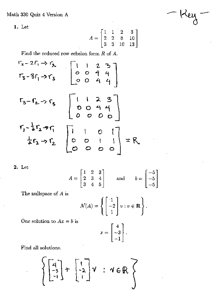
Last Updated: Fri Oct 1 17:05:14 PDT 2004