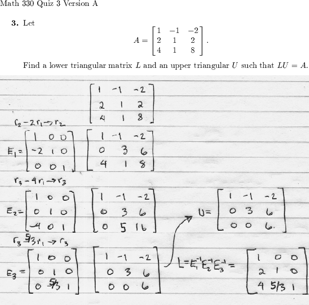
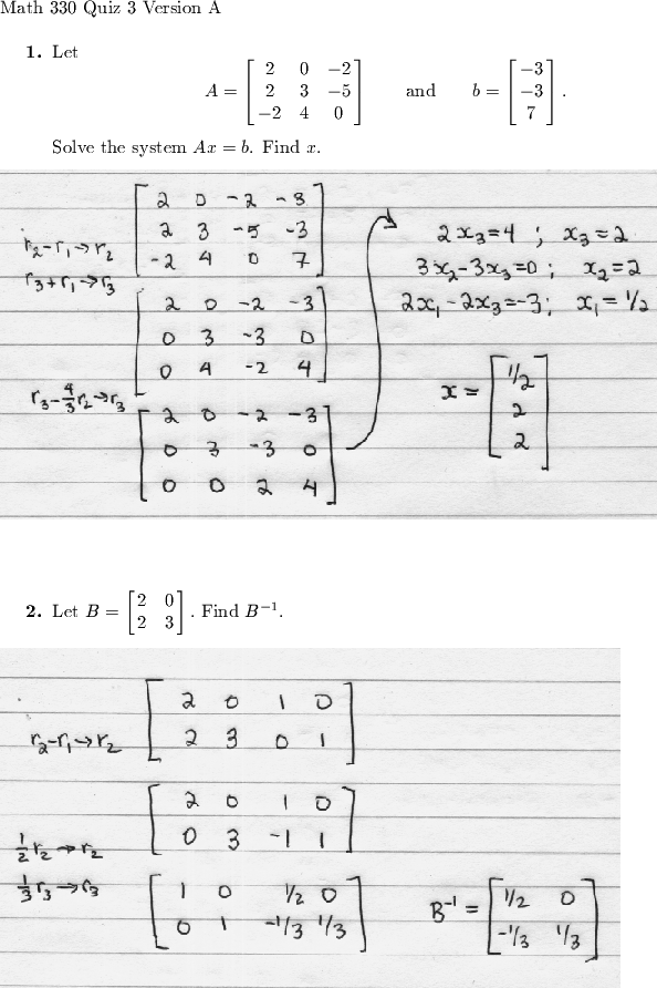
Last Updated: Wed Sep 15 14:39:00 PDT 2004