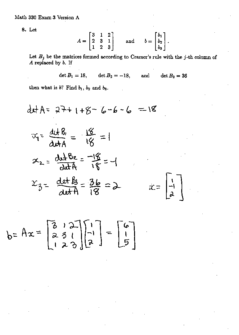
Last Updated: Fri Nov 12 11:46:49 PST 2004