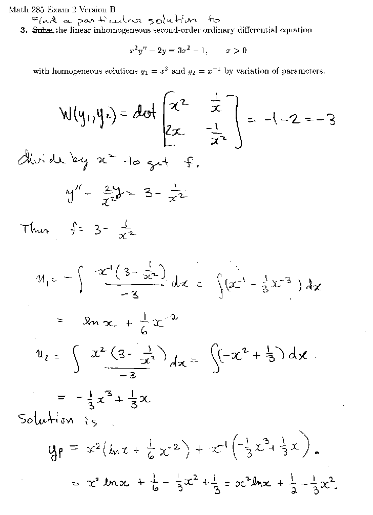
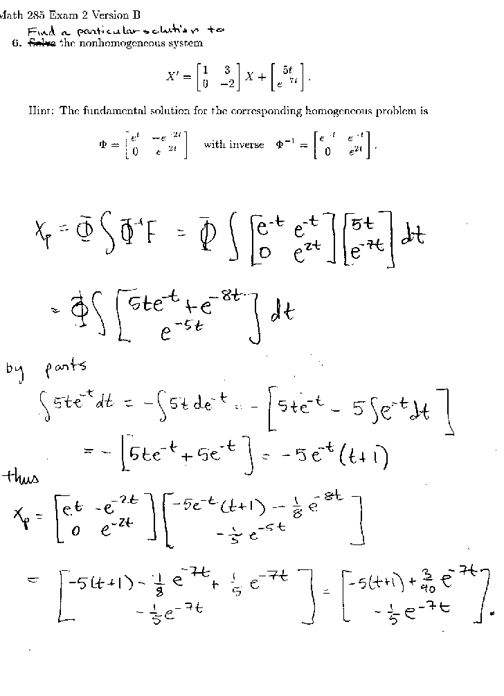
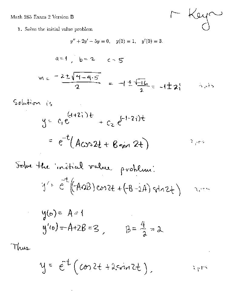
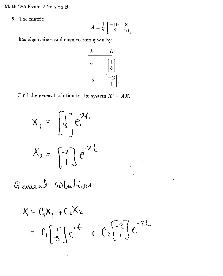
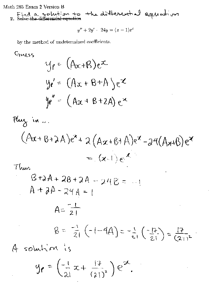
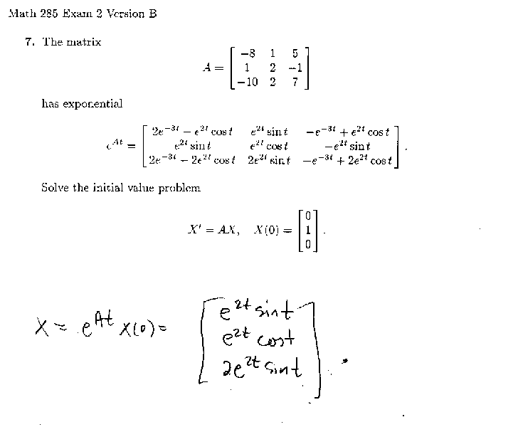
Last Updated: Sat Apr 16 10:23:51 PDT 2005