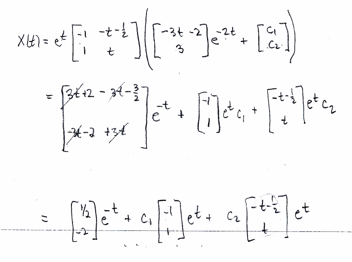
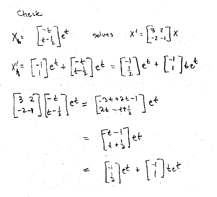
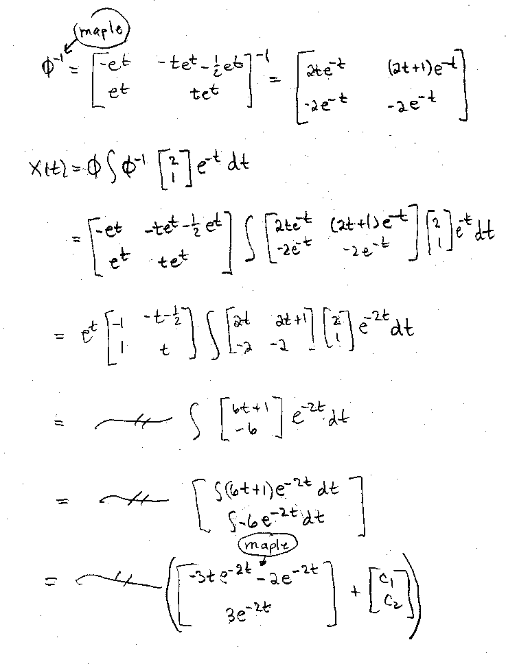
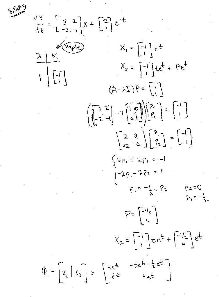
Mathematics 285 Section 8.3 Problem 9

Note that I think the solution in the back of the book is wrong for this problem. The following maple worksheet was used for the calculation steps indicated in the solution.


Last Updated: Wed Oct 6 16:48:17 PDT 2004