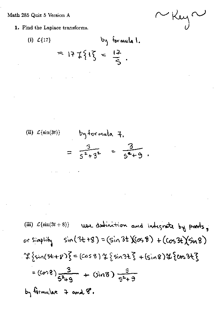
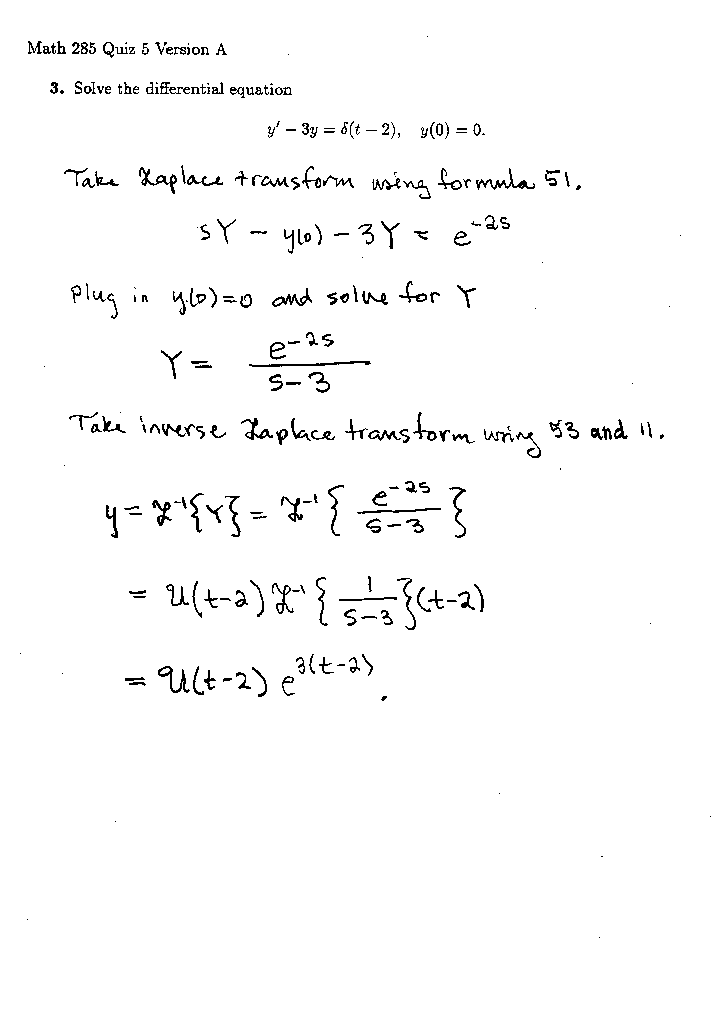
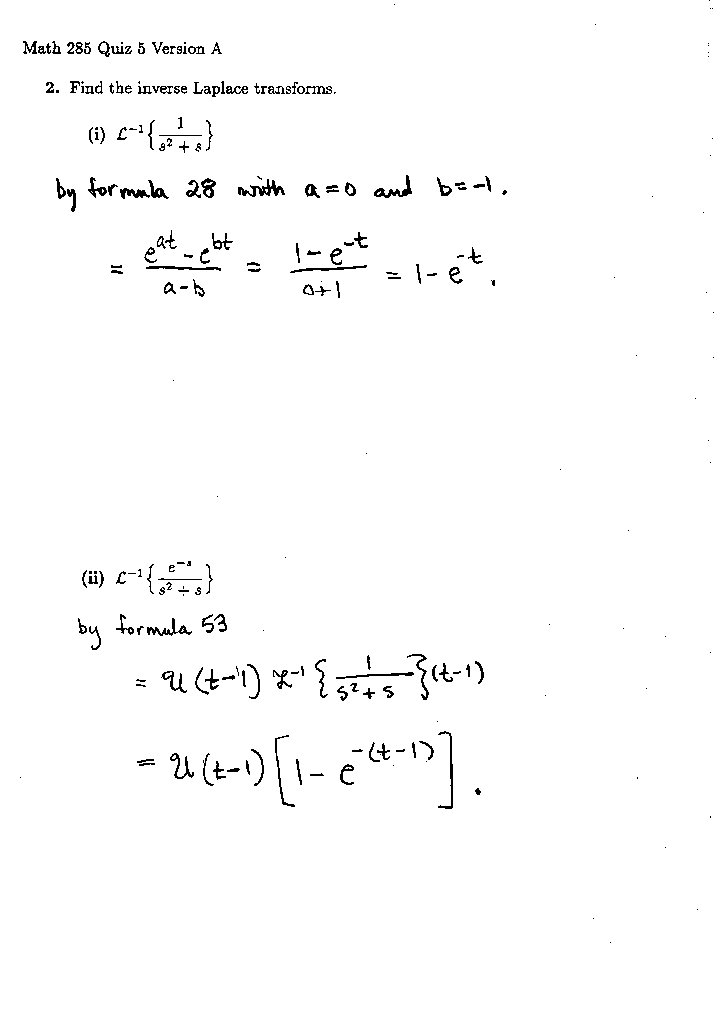
Table of Laplace Transforms (part 1)

Table of Laplace Transforms (part 2)

Table of Laplace Transforms (part 3)


Last Updated: Fri Dec 3 14:29:48 PST 2004