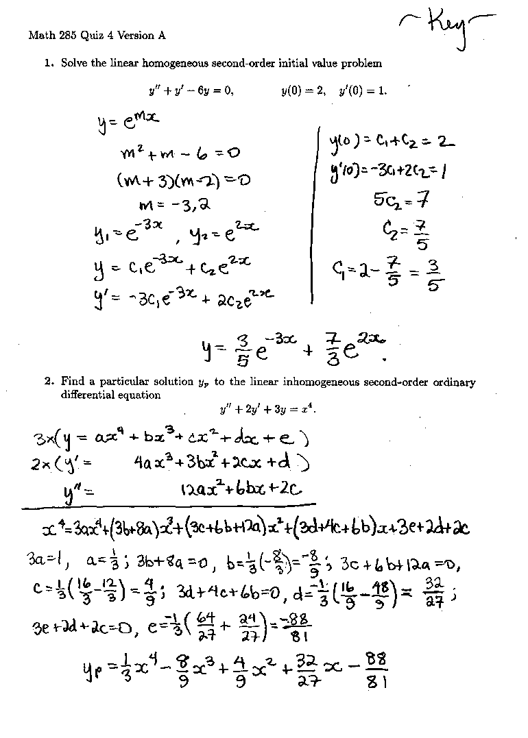
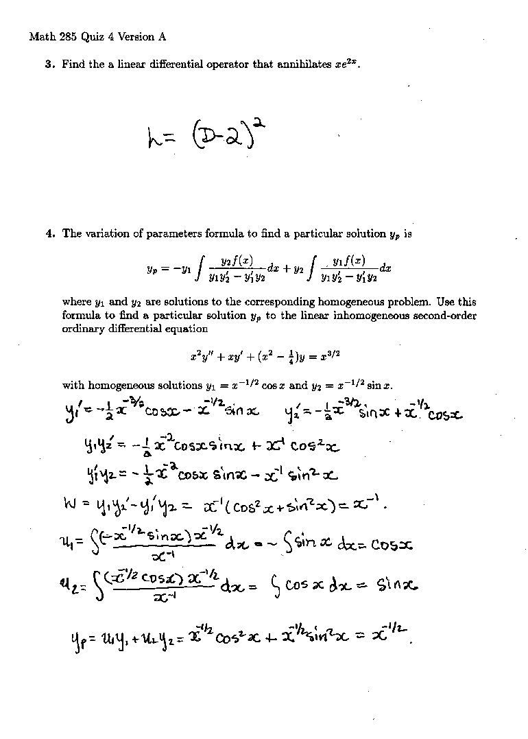
Last Updated: Fri Nov 12 11:56:53 PST 2004