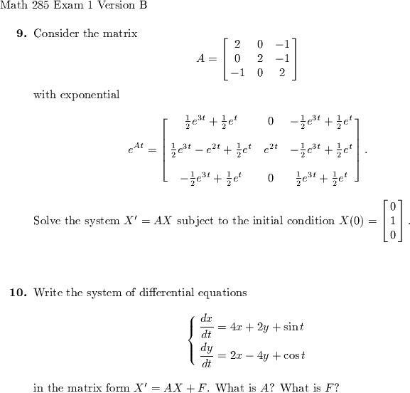
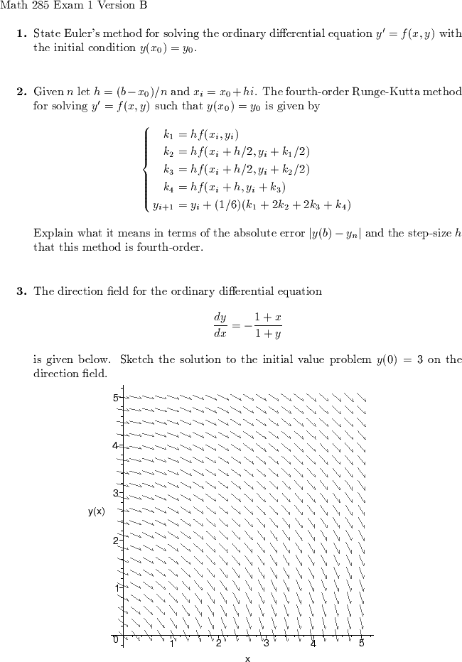
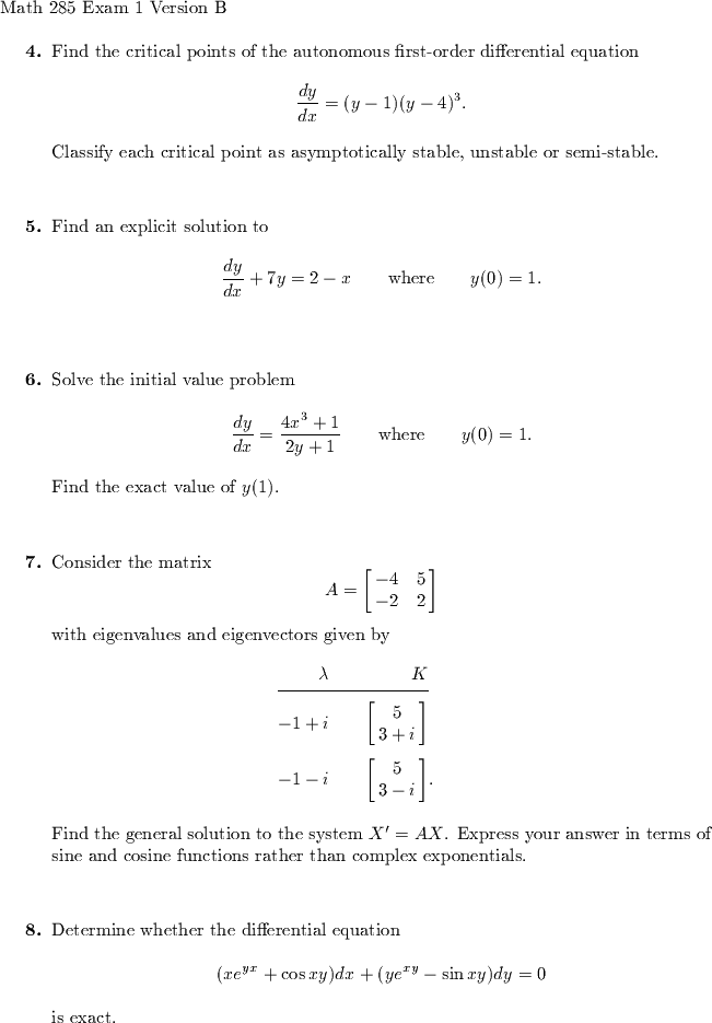
Last Updated: Wed Oct 6 15:38:50 PDT 2004