Quiz 1 Version B

Answer to question 1

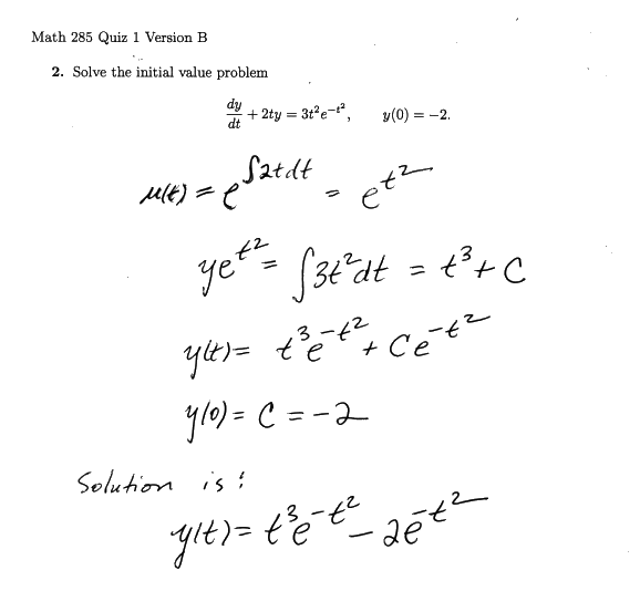
Answer to question 2

Answer to question 3


Last Updated: Tue Feb 18 21:25:01 PST 2003