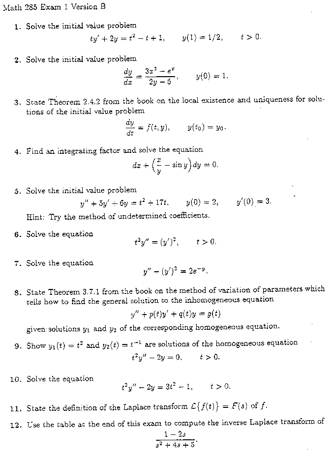
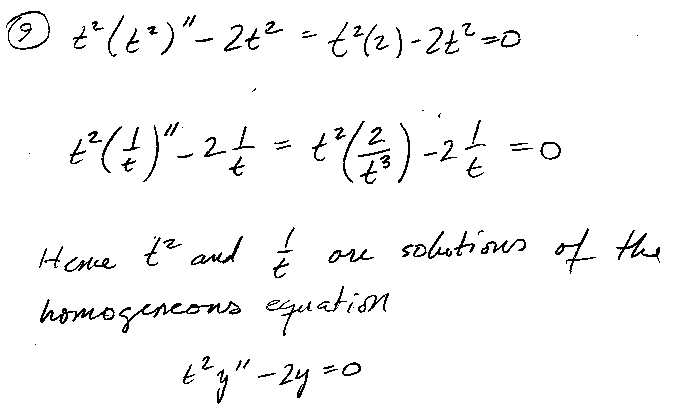
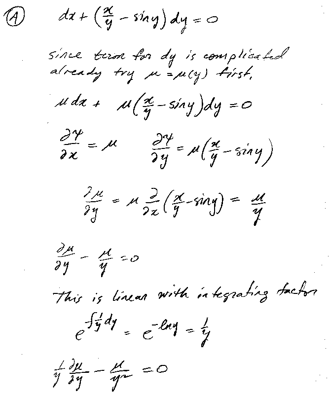
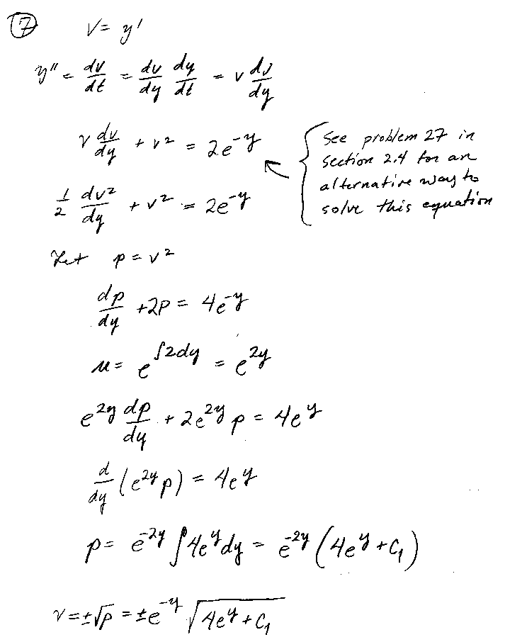
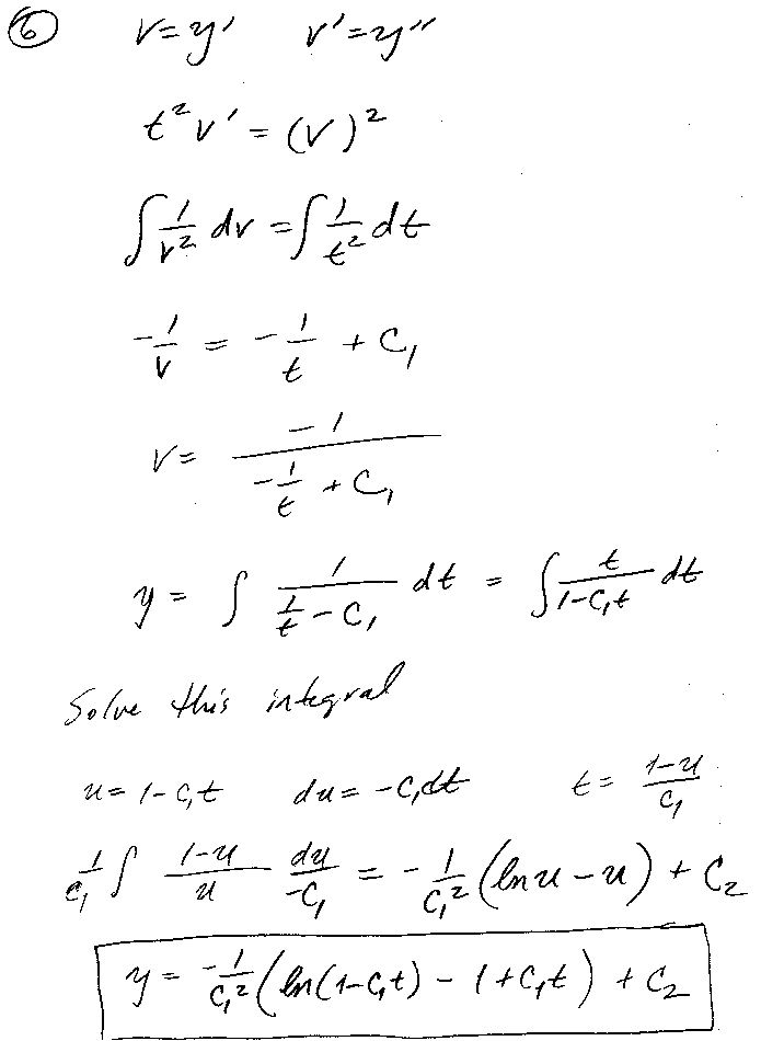
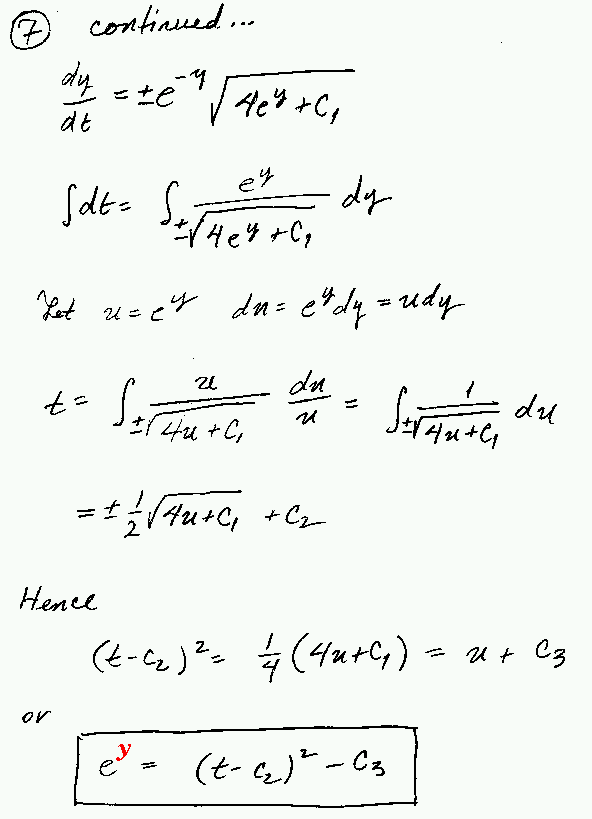
Answers to Midterm Review B

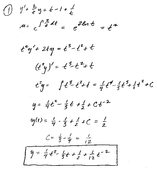
These answers haven't been fully checked for correctness, so there may be errors. Please contact me if you find any errors and I'll fix them as quickly as possible.

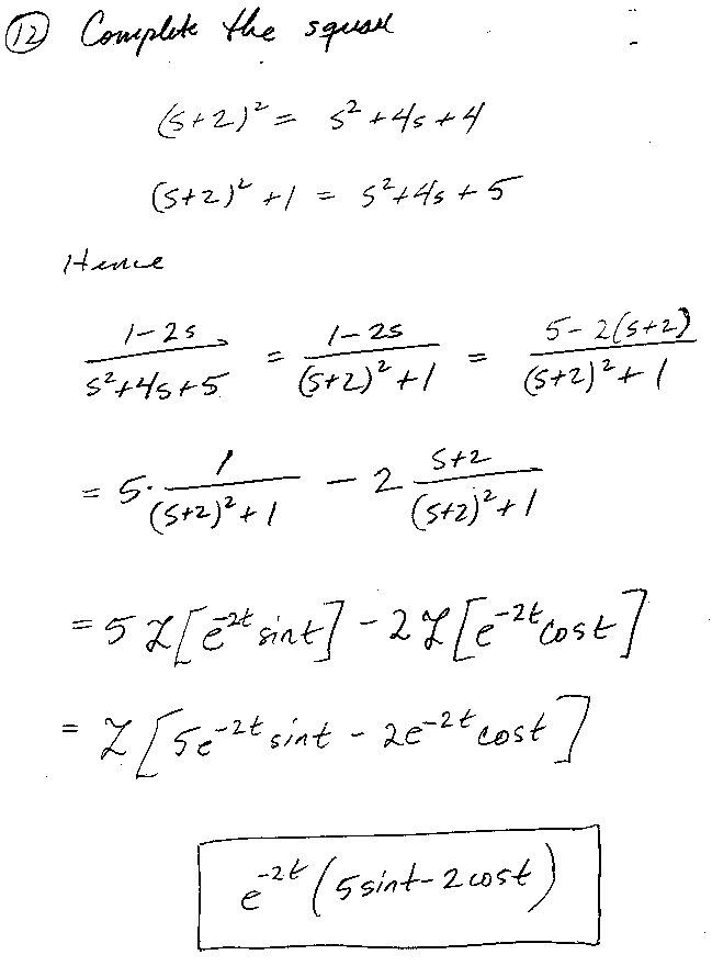
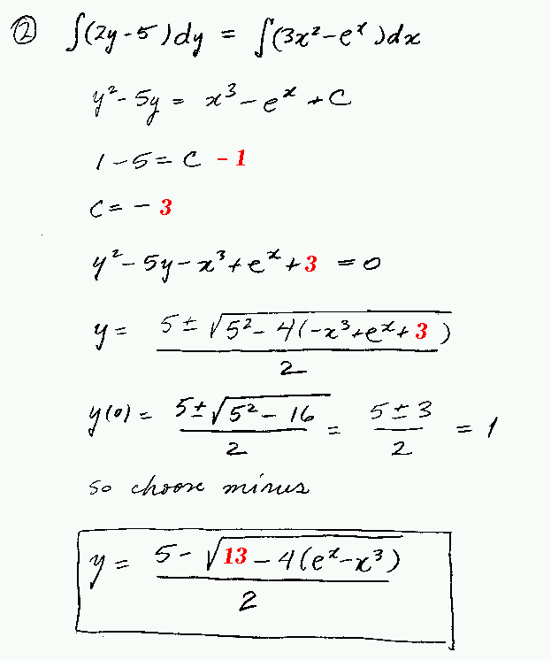
Last Updated: Wed Mar 5 22:23:04 PST 2003