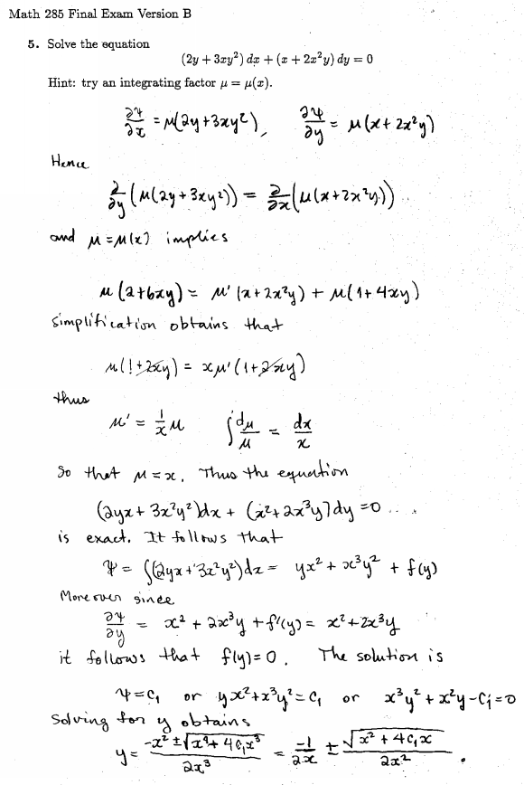
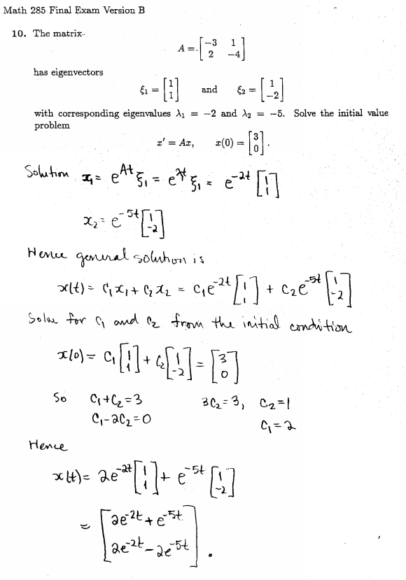
Answers to Final from 2003

These answers haven't been checked for correctness, so there may be errors. Please email me at ejolson at unr.edu if you find any errors and I'll fix them as quickly as possible.

Last Updated: Sat May 10 18:40:42 PDT 2003