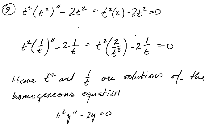
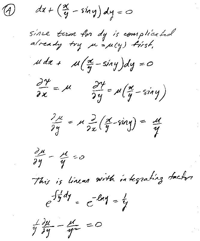
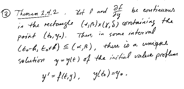
Answers to Midterm Review

These answers haven't been checked for correctness, so there may be errors. Please email me at ejolson@unr.edu if you find any errors and I'll fix them as quickly as possible.

Last Updated: Sat Mar 10 19:44:25 PST 2001