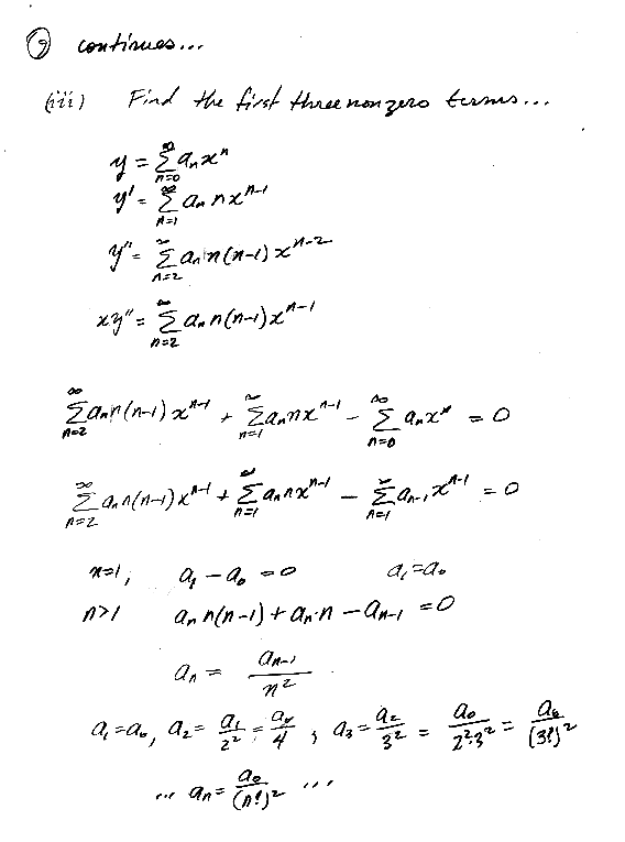
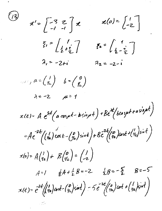
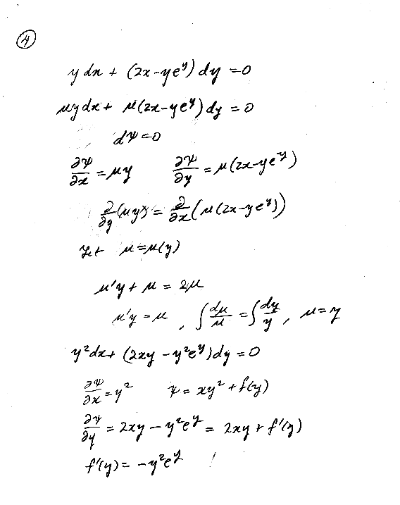
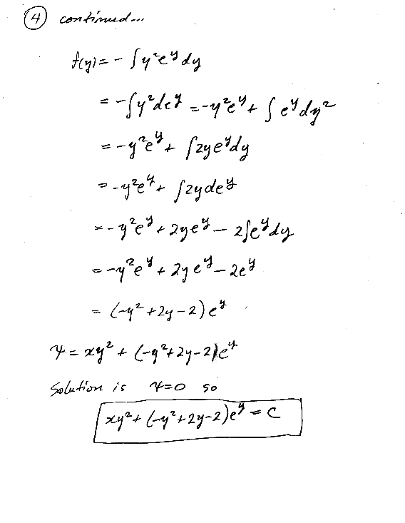
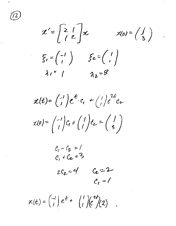
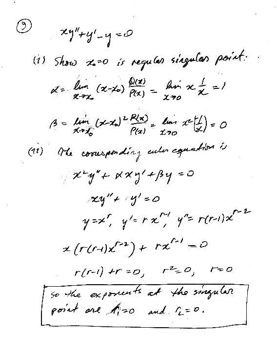
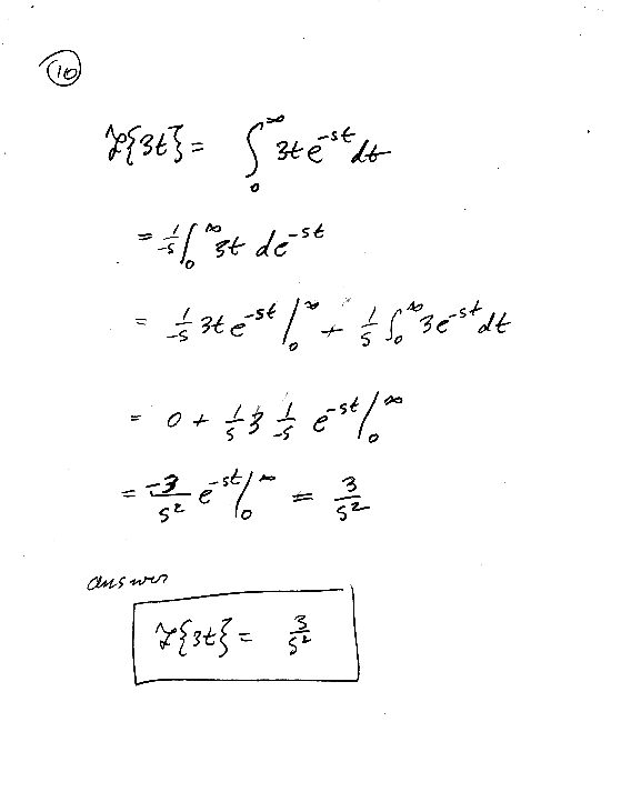
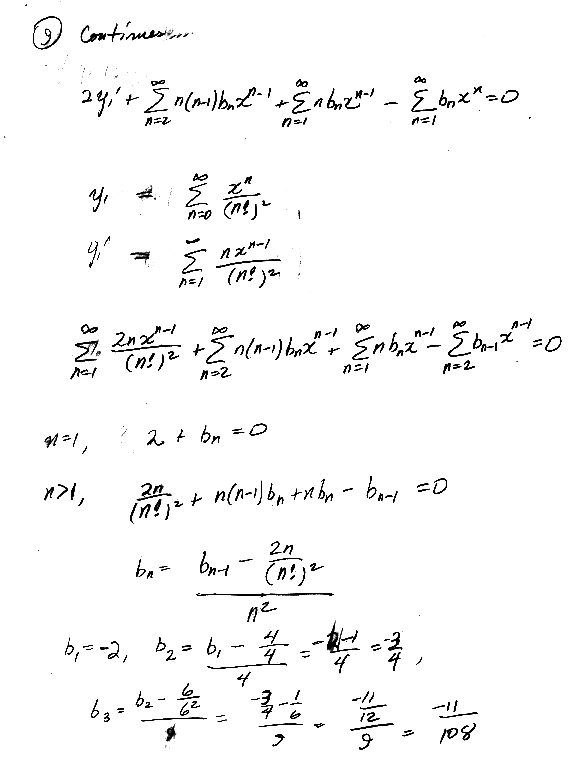
Final Exam Review Answers

These answers haven't been checked for correctness, so there may be errors. Please email me at ejolson@unr.edu if you find any errors and I'll fix them as quickly as possible.


Last updated: Sun May 6 09:04:32 PDT 2001