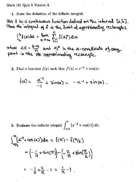
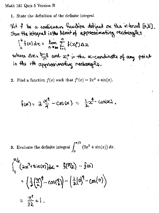
Mathematics 181 Quiz 5 Answers


Last updated: Wed Dec 6 09:38:59 PST 2000