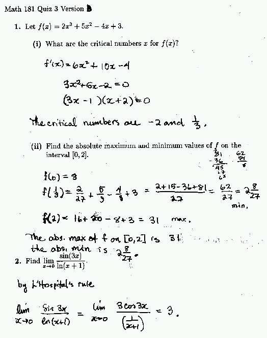
Mathematics 181 Quiz 3 Answers


Last updated: Wed Nov 15 09:04:27 PST 2000