Mathematics 181 Quiz 2 Answers

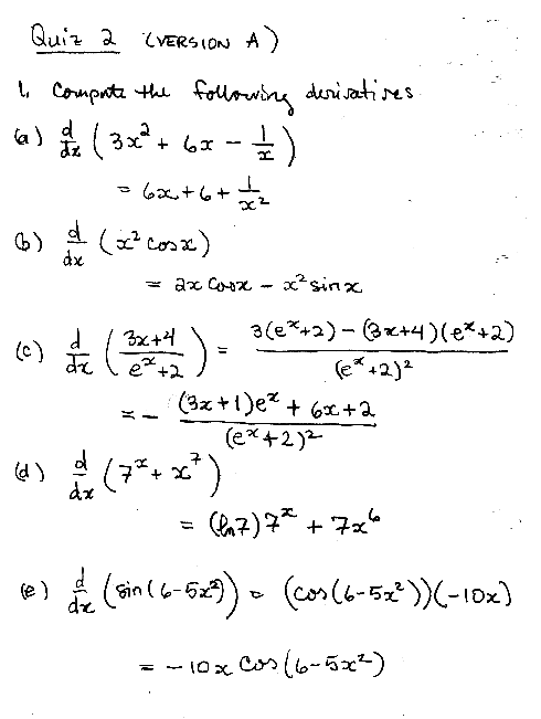
Version A: 1a. 6x+6+1/x^2 b. 2xcos(x)-x^2sin(x) c. -((3x+1)e^x+6x+2)/(e^x+2)^2 d. (ln7)7^x+7x^6 e. -10xcos(6-5x^2)

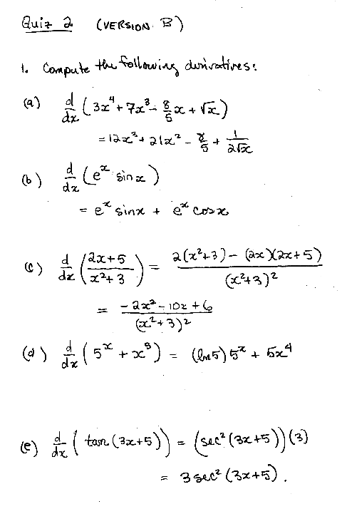
Version B: 1a. 12x^3+21x^2-8/5+1/(2sqrt(x)) b. e^x(sin(x)+cos(x)) c. (-2x^2-10x+6)/(x^2+3)^2 d. (ln5)5^x+5x^4 e. 3 sec^2(3x+5)


Last updated: Wed Oct 11 15:59:11 PDT 2000