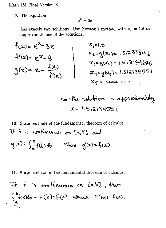
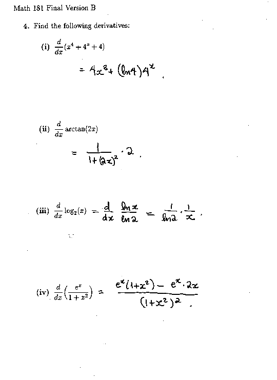
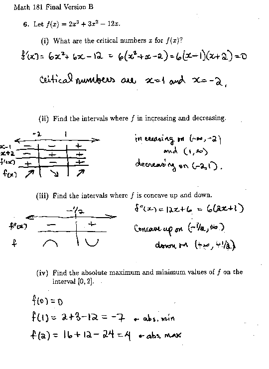
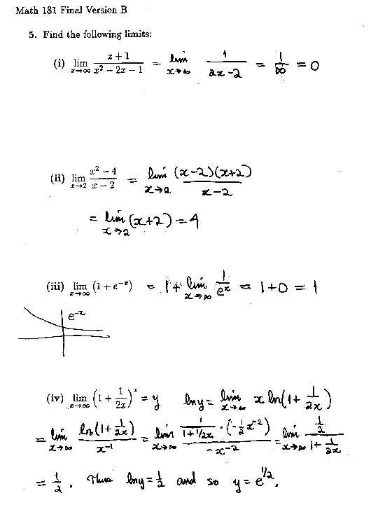
Mathematics 181 Final Answers


Last updated: Wed Dec 13 11:48:00 PST 2000