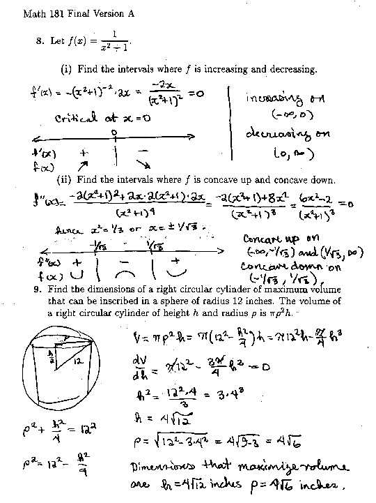
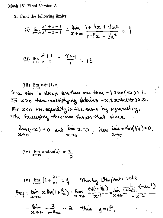
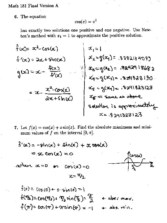
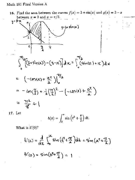
Mathematics 181 Final Review Answers


Last updated: Sun Dec 10 18:38:18 PST 2000