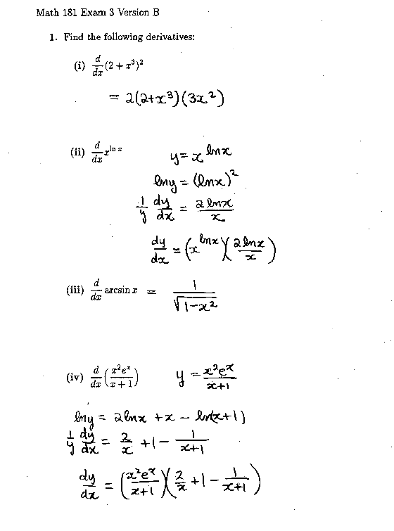
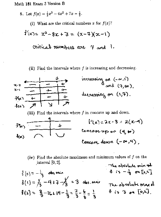
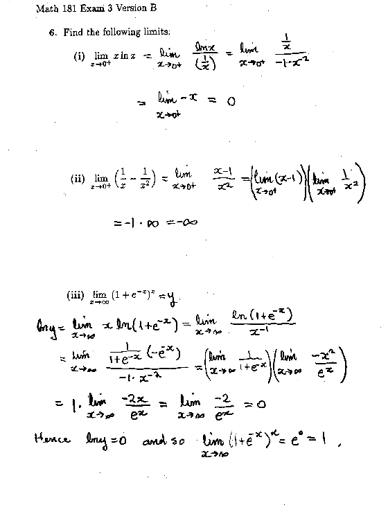
Mathematics 181 Exam 3 Answers


Last updated: Wed Nov 22 16:01:51 PST 2000