Mathematics 181 Exam 2 Review Answers

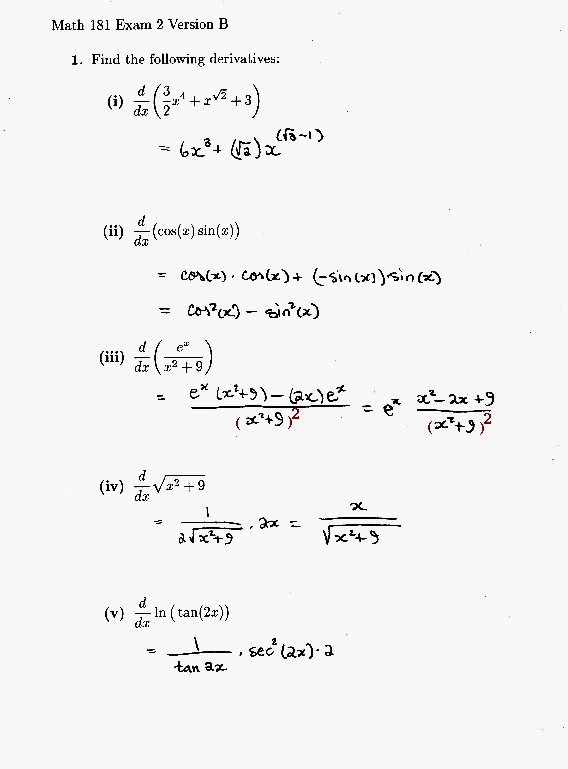
Version B: 1(i). 6x^3+(sqrt 2)x^((sqrt 2)-1) (ii). cos^2(x)-sin^2(x) (iii). e^x (x^2-2x+9)/(x^2+9) (iv). x/sqrt(x^2+9) (v). 2 sec^2(2x)/tan(2x)

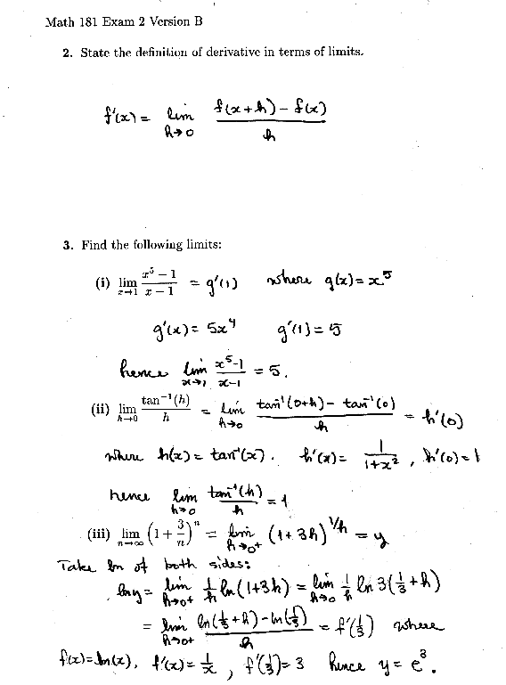
2. f'(x)=lim_h->0 (f(x+h)-f(x))/h 3(i). 5 (ii). 1 (iii). e^3

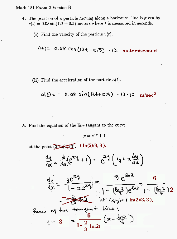
4(i). v(t)=0.96cos(12t+0.3) (ii). a(t)=-11.52sin(12t+0.3) 5. y-(ln2)/3=-(2/15)(ln2)(x-3)

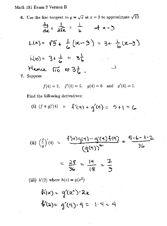
6. 3.166666667 7(i). 6 (ii). 7/9 (iii). 4

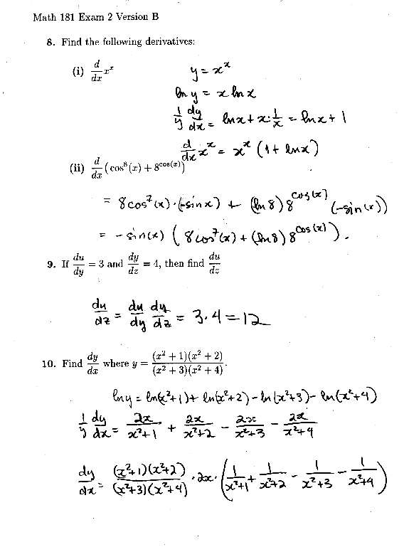
8(i) x^x(1+lnx) (ii). -sin(x)(8cos^7(x)+(ln8)8^cos(x)) 9. 12 10. (x^2+1)(x^2+2)(2x)(1/(x^2+1)+1/(x^2+2)-1/(x^2+3)-1/(x^2_4))/((x^2+3)(x^2+4))


Last updated: Tue Oct 24 14:36:47 PDT 2000