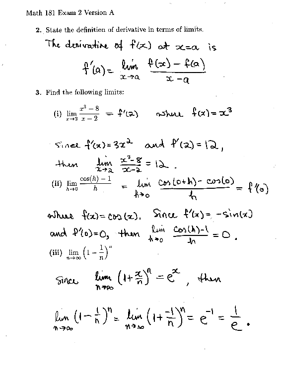
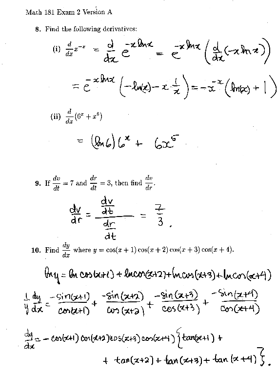
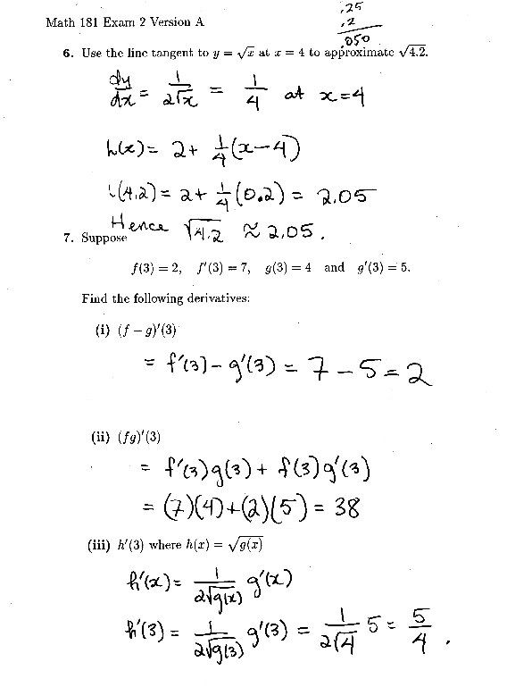
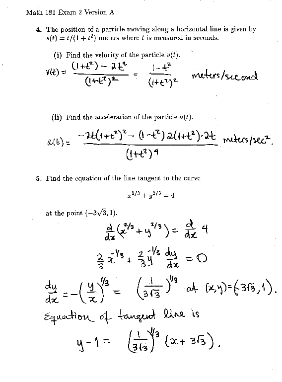
Mathematics 181 Exam 2 Answers


Last updated: Wed Oct 25 19:29:26 PDT 2000