Mathematics 181 Exam 1 Review Answers

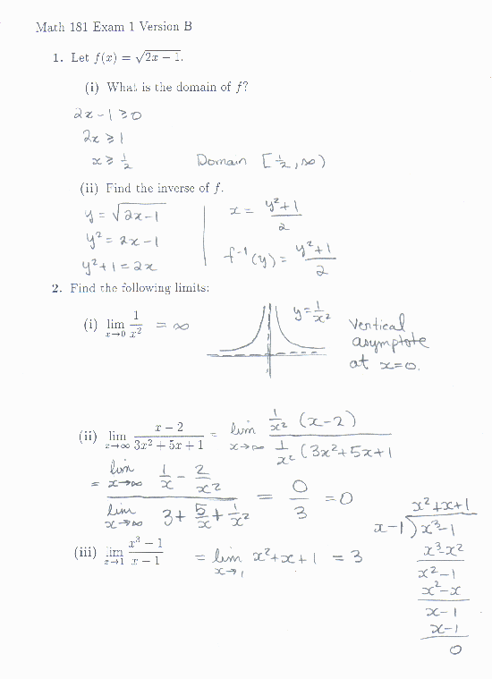
Version B: 1(i). [1/2,infinity) (ii). f^-1(y)=(y^2+1)/2 2(i). infinity (ii). 0 (iii). 3

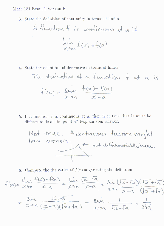
3. definition of continuity on page 120 4. definition of derivative on page 151 5. how a function can fail to be differentiable on page 165 6. f'(a)=1/(2 sqrt(a))

7(i). 1 (ii). 1 8. f(1)>0 and f(e)<0 so by the IVT there is a point c in (1,e) such that f(c)=0.  This point is a solution to the equation.  9. y-4=3(x-2)

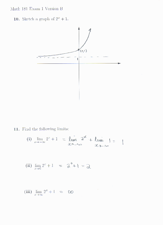
10. shift the exponential function on page 57 up by 1  11(i). 1 (ii). 2 (iii). infinity

12. compare to the example on page 159

13. a graph of the exponential function 14(i). 1 (ii). 20 (iii). 25

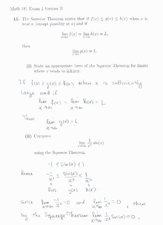
15(i). replace a by infinity and reword as necessary (ii). f(x)=-1/x^2, g(x)=sin(x)/x^2 and h(x)=1/x^2.  The Squeeze Theorem implies that the limit of g(x) is zero as x tends to infinity.


Last updated: Tue Sep 26 15:16:20 PDT 2000