Mathematics 181 Exam 1 Answers

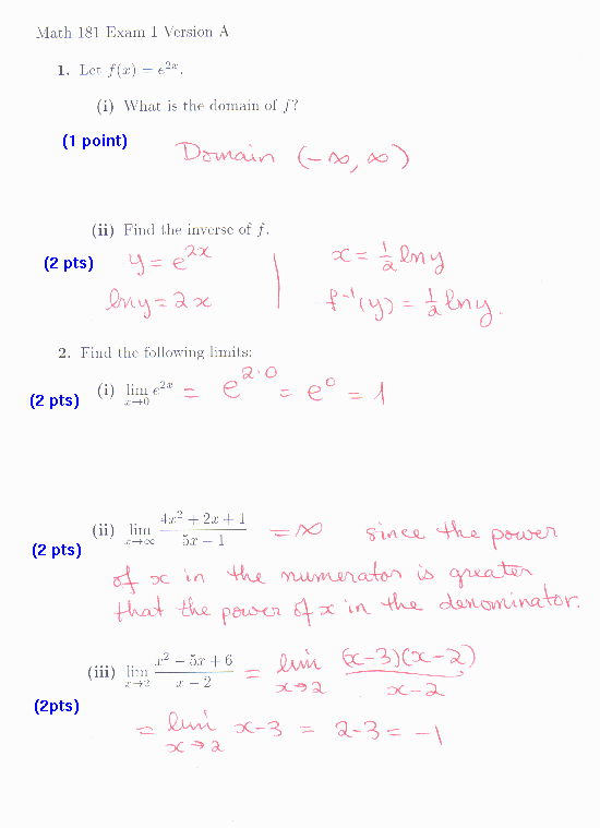
Version A: 1(i). all real numbers (ii). f^-1(y)=(1/2)ln(x) 2(i). 1 (ii). infinity (iii). -1

3. definition of continuity on page 120 4. definition of derivative on page 151 5. Yes.  See Theorem 4 6. f'(a)=2a

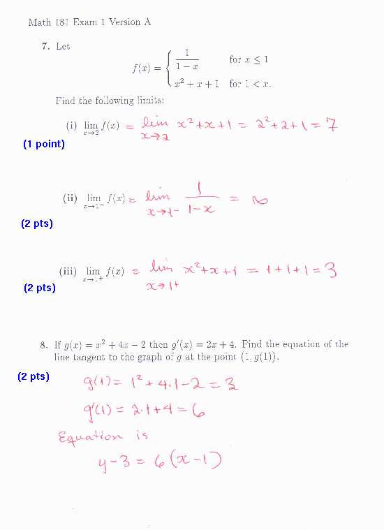
7(i). 7 (ii). infinity (iii). 3 8. y-3=6(x-1)

9. See chapter 1.3 10(i). -infinity (ii). 0 (iii). infinity

11. compare to the example on page 159

12. an increasing function that is concave down 13(i). 9 (ii). 5/4 (iii). 2

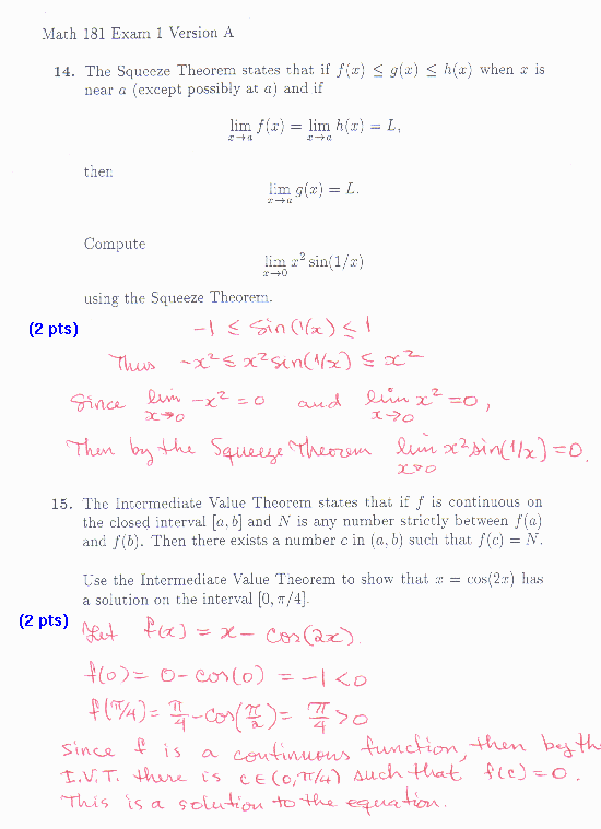
14. Let f(x)=-x^2, g(x)=x^2sin(x) and h(x)=x^2.  The Squeeze Theorem implies that the limit of g(x) is zero as x tends to infinity. 15. f(0)>0 and f(pi/4)<0 so by the IVT there is a point c in (0,pi/4) such that f(c)=0.  This point is a solution to the equation.


Last updated: Thu Sep 28 17:04:04 PDT 2000