Mathematics 181 Extra Credit 2

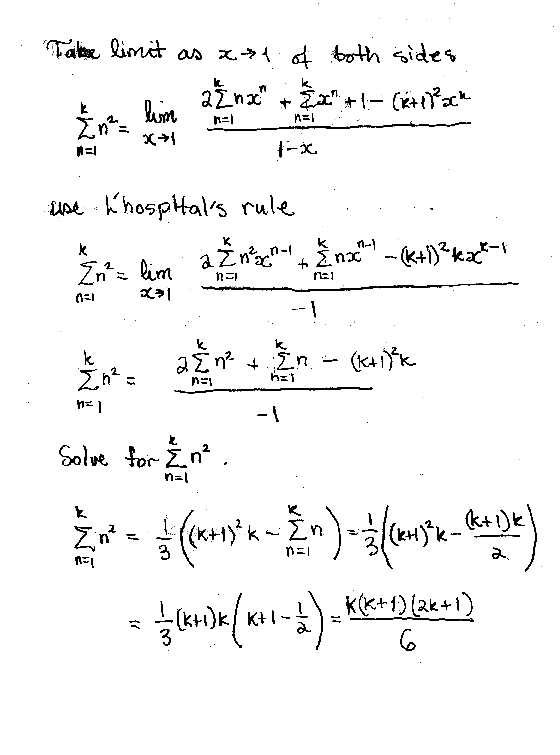
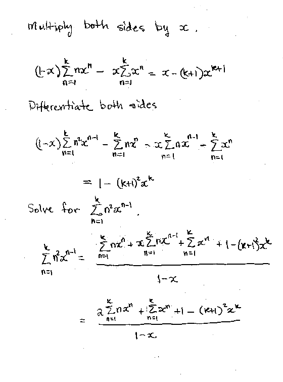
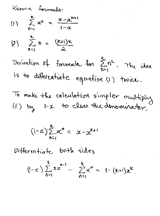
For extra credit derive the formula for a sum of cubes. One way of doing this is to modify the example below that derives the sum of squares.


Last updated: Wed Nov 29 10:58:10 PST 2000